网站首页  百科知识

请输入您要查询的百科知识:

 

词条 氟胺氰菊酯
类别 中文百科知识
释义

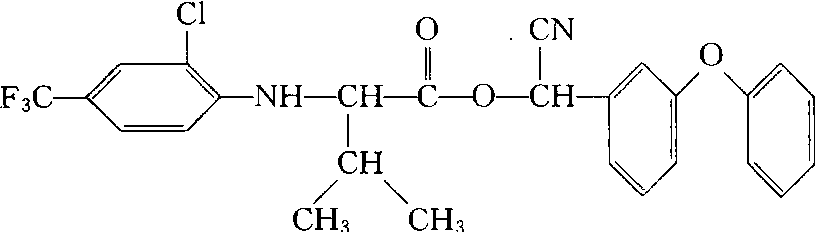
氟胺氰菊酯fluvalinate

又称马扑立克、Mavrik。化学名称:N-(2-氯-4-三氟甲基苯基)-DL-α-氨基异戊酸-α-氰基(3-苯氧苯基)甲基酯。化学结构式如下。原药为黏性黄色油状液体,密度1.29(25℃),沸点450℃ ,蒸气压<133.322×10-7 Pa。不容于水易溶于醇类及芳香烃类溶剂,对光和热稳定。杀虫广谱与其除虫菊酯相同,对各种作物的鳞翅目幼虫效果较好,并可兼治叶螨。中等毒性大鼠口服LD50为286 mg/kg,大鼠吸入(4h)LC50>5.1 mg/kg。兔经皮LD50>20 000 mg/kg。大鼠亚急性经口无作用剂量为3 mg/(kg·d)。大鼠慢性经口无作用剂量为1 mg/(kg·d)。

随便看

 

开放百科全书收录579518条英语、德语、日语等多语种百科知识,基本涵盖了大多数领域的百科知识,是一部内容自由、开放的电子版国际百科全书。

 

Copyright © 2000-2025 oenc.net All Rights Reserved
更新时间:2026/5/19 22:14:48