网站首页  百科知识

请输入您要查询的百科知识:

 

词条 氟氰戊菊酯
类别 中文百科知识
释义

氟氰戊菊酯flucythrinate

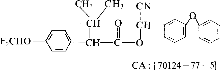
非三元环结构含氟并具有一定抑螨活性的合成拟除虫菊酯杀虫剂。商品名有保好鸿、Pay-Off、Cybolt、Cythrin等。有四个光学异构体,产品是生物活性较高的(S)酸(R,S)醇酯。化学结构式:

1976年美国氰胺公司(American Cyanamid Co.)首先研制并开发。
性能 原药为暗琥珀色粘稠液体,有轻微的酯味,沸点108℃/46.7帕,25℃时蒸气压为1.2×10-6帕,密度d224 1.19。对光稳定,弱酸性介质中较稳定,碱性介质中易分解,27℃在pH3缓冲液中半衰期40天,pH5缓冲液中半衰期52天,pH9缓冲液中半衰期6.3天,在37℃正常条件下贮存稳定期一年以上,25℃正常条件下贮存稳定期两年以上。难溶于水,易溶于丙醇、丙酮、玉米油、棉籽油、豆油、己烷、二甲苯等有机溶剂。对高等动物毒性中等,原药对大鼠急性经口LD50为81毫克/千克(雄)、67毫克/千克(雌),对兔急性经皮LD50大于1000毫克/千克,对兔皮肤、眼睛无刺激作用。在试验剂量内对试验动物未发现致畸、致突变和致癌作用。对人体每日允许摄入量(ADI)为0.02毫克/千克。对鱼类等水生生物、蜜蜂、家蚕高毒,对鸟类低毒。杀虫活性高,属神经毒剂,具有触杀和胃毒作用,无内吸传导和熏蒸作用。药效迅速,残效期较长,高温下杀虫活性不减退。杀虫谱广,对鳞翅目、鞘翅目、双翅目、半翅目、直翅目、缨翅目等多种害虫有效,对叶螨有一定的抑制作用。
应用 加工成乳油、可湿性粉剂、超低容量液剂等剂型使用。主要用于棉花、果树、蔬菜、茶树等作物,防治棉铃虫、棉红铃虫、柑桔潜叶蛾、桃小食心虫、菜青虫、蚜虫、茶尺蠖、茶毛虫等。可兼治叶螨,防治害螨时的使用剂量比防治害虫的高1~2倍,故不作专用杀螨剂用。喷雾要均匀,对钻蛀性害虫应在幼虫蛀入作物前施药,残效期一般为7~14天。

氟氰戊菊酯flucythrinate

又称氟氰菊酯、payoff。化学名称:(R,S)α-氰基-3-苯氧苄基-(R,S)-2-(4-二氟甲氧基)-3-甲基丁酸酯。化学结构式如下。纯品为液体、密度1.189(22℃),沸点108℃46.66 Pa,25℃时蒸气压1159.9×10-9Pa。水中溶解度0.5 mg/L(21℃),丙酮中>820 g/L、二甲苯中1 810 g/L,丙醇中>780 g/L、玉米油中>560 g/L。与氰戊菊酯性状相似,主要用于棉花、果树、蔬菜及其他经济作物上害虫防治,特别对鳞翅目幼虫效果较好。所不同的是氟氰戊菊酯对螨类有抑制作用。中等毒性,大鼠经口LD50为81 mg/kg(♂)、67 mg/kg(♀)。兔经皮LD50>1 000 mg/kg。对鱼剧毒,TLM都1 mg/L以下。对蜜蜂剧毒。

随便看

 

开放百科全书收录579518条英语、德语、日语等多语种百科知识,基本涵盖了大多数领域的百科知识,是一部内容自由、开放的电子版国际百科全书。

 

Copyright © 2000-2025 oenc.net All Rights Reserved
更新时间:2025/11/10 10:09:40