网站首页  百科知识

请输入您要查询的百科知识:

 

词条 氟氯氰菊酯
类别 中文百科知识
释义

氟氯氰菊酯cyfluthrin

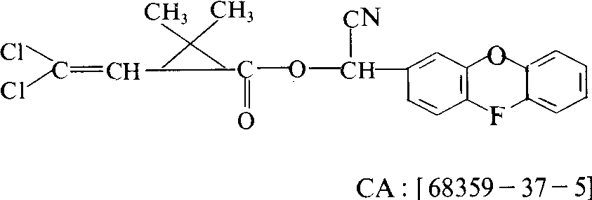
含氟,低毒并有一定抑螨活性的合成拟除虫菊酯杀虫剂。商品名有百树得、百树菊酯、Baythroid、Responsar等。有八个光学异构体。化学结构式:

1977年德国拜耳公司(Bayer AG)首先研制,并开发。
性能 纯品为无色结晶,不同的光学异构体熔点不同,原药为棕色含有结晶的粘稠液体,含有效成分90%以上,加热至60℃以上时变为黄棕色透明油状液体,无特殊气味,密度d1.27~1.28,20℃时蒸气压小于1×10-3帕。对光稳定,酸性介质中较稳定,碱性介质中易分解,当pH值大于7.5时就会被分解,常温下贮存两年不变质。几乎不溶于水,易溶于丙醇-2、二氯甲烷、已烷、甲苯等有机溶剂。对高等动物低毒,原药对大鼠急性经口LD50约为600毫克/千克,对大鼠急性经皮LD50大于5000毫克/千克,对大鼠急性吸入LC50(1小时)大于1089毫克/米3。对兔皮肤无刺激作用,对眼睛有轻度刺激作用。在试验剂量内对试验动物未发现致畸、致突变和致癌作用。用含有50毫克/千克氟氯氰菊酯的饲料喂养大鼠两年未发现有害影响。对鱼类等水生生物、蜜蜂、家蚕高毒,对鸟类毒性较低。杀虫活性高,属神经毒剂,具有触杀和胃毒作用,对植物组织有有效的渗透作用,无内吸传导和熏蒸作用。药效迅速,残效期较长,对作物安全。杀虫谱广,对鳞翅目、半翅目、鞘翅目、双翅目等多种害虫有效,对一些地下害虫也有效,对螨类有一定的抑制作用,但不作为专用杀螨剂使用。
应用 加工成乳油、超低容量液剂、可湿性粉剂、颗粒剂等剂型使用。主要用于棉花、蔬菜、果树、茶树、烟草、旱粮、大豆等作物,防治各种蚜虫、棉铃虫、棉红铃虫、菜青虫、桃小食心虫、柑桔潜叶蛾、茶树茶尺蠖、茶毛虫、烟青虫、旱粮粘虫、玉米螟、地老虎、大豆食心虫等,对棉叶螨有一定的抑制作用。施药要均匀,不与碱性药剂混用,对钻蛀性害虫应在幼虫蛀入作物前施药。还用于贮藏产品、草皮和卫生等方面害虫的防治。防治卫生害虫采用滞留喷雾。

氟氯氰菊酯cyfluthrin

又称百治菊酯、百树菊酯、bagthroid。化学名称:α-氰基-3-苯氧基-4-氟苄基(1R、3R)-3-(2,2-二氯乙烯基)2,2-二甲基环丙烷羧酸酯。化学结构式如下。原药为棕色黏稠的液体,密度1.27~1.28,20℃时蒸气压<99.99×10-5Pa。微溶于水,易溶于有机溶剂。大鼠经口LD50(♂)为550~750 mg/kg(♀)为1 200 mg/kg,小鼠(♂)为300mg/kg、(♀)为600 mg/kg。对鱼类剧毒,鲤鱼LC500.01 mg/L,对蜜蜂有毒。可以防治棉、果树、蔬菜及其他经济作物害虫,主要是鳞翅目幼虫。

随便看

 

开放百科全书收录579518条英语、德语、日语等多语种百科知识,基本涵盖了大多数领域的百科知识,是一部内容自由、开放的电子版国际百科全书。

 

Copyright © 2000-2025 oenc.net All Rights Reserved
更新时间:2026/5/19 20:52:04