网站首页  百科知识

请输入您要查询的百科知识:

 

词条 氟乐灵
类别 中文百科知识
释义

氟乐灵trifluralin

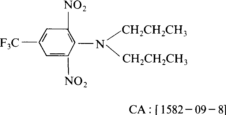
选择性芽前二硝基苯胺类除草剂。商品名特福力(Treflan 4EC)、氟特力(Flu-trix 48EC)、茄科宁等。化学结构式:

1959年美国礼来公司(Eli-Lilly Co.)首先开发。使用面积和应用范围较大,为旱田除草剂的骨干品种,全世界消费量在万吨级水平。
性能 原药为橙黄色晶状固体,具芳香族化合物气味,20℃时密度1.23,沸点96~97℃(24帕时),熔点为48.5~49℃,25℃时蒸气压力0.014帕。水溶性低,27℃时在水中溶解度小于1.0毫克/升。可溶于大多数有机溶剂,丙酮中400克/升,二甲苯中580克/升。但具有挥发性,受紫外光照射时易分解,无腐蚀性,避光、密封保存稳定期为3年。能与大多数农药混配。对高等动物低毒,原药大鼠急性经口服LD50大于10000毫克/千克,家兔急性经皮LD50大于20000毫克/千克,大鼠急性吸入LC50大于2 .8毫克/升(1小时),对家兔眼睛、皮肤有刺激作用。慢性经口无作用剂量大鼠为2000毫克/千克·天,狗为400毫克/千克(喂饲)。在试验条件下未见致畸、致突变、致癌作用。蓝鳃鱼和金鱼LC50值分别为0.058和0.59毫克/升,水蚤LC50为0.2~0.6毫克/升。对蜜蜂致死量为24毫克/只,各种鸟类经口毒性LD50大于2000毫克/千克。
作用机制 作物播前、芽前、植前处理,混入土壤中,杂草种子发芽生长穿过药土层时,直接接触或被幼芽、幼根吸收,禾本科植物的胚芽鞘和双子叶植物的下胚轴是吸收的主要部位,但出苗后的茎和叶不能吸收。在植物体内传导差。抑制根的生长,使根增粗,根尖附近部位的活性分生组织膨胀,它也抑制侧根和次生根的发育。氟乐灵能够阻碍细胞分裂导致多核细胞和多倍性,对禾本科植物的抑制作用比双子叶植物强,禾本科植物受害后幼芽成鹅头状,双子叶植物下胚轴膨大变粗,使杂草停止生长,不能出土而死亡。对已出土杂草无效。施药后要立即混土,在土壤中被土壤胶粒牢固吸附,不易移动,土中持效期受土壤类型、温度、湿度、微生物种类、用药剂量及混土方式等条件影响,在温暖潮湿的土壤中,按推荐药量,药效长8~12周。
应用 适用于大豆、棉花、玉米、小麦、旱稻、甘蔗、甜菜、向日葵、番茄、甘蓝、菜豆、胡萝卜、芹菜、香菜等40多种作物及果园、林业苗圃、花卉、草坪、种植园等防除稗草、野燕麦、狗尾草、马唐、牛筋草、碱茅、千金子、早熟禾、看麦娘、藜、苋、繁缕、猪毛菜、宝盖草、马齿苋等一年生禾本科杂草及部分双子叶杂草。大豆于播前5~7天土壤处理,立即交叉混土5~7厘米深。用药量根据土壤有机质含量不同而异,一般每公顷用48%氟乐灵乳油1.5~3升。与灭草猛、嗪草酮、甲羧除草醚等除草剂混用,可互补不足,扩大杀草谱,提高作物安全性。油菜、花生、芝麻、棉花、十字花科蔬菜等作物田使用,应在播前或苗前施药。不可在百合科、菊科、茄科、葫芦科、藜科蔬菜的直播育苗田中应用,对移栽蔬菜番茄、茄子、柿子椒、甘蓝、菜花等,应在移栽前或移栽后杂草出苗前使用,在移栽黄瓜田,待苗高10~15厘米上架时方可作土壤处理,移栽芹菜、洋葱、沟葱、老根韭菜,缓苗后可应用。冬小麦在浇冻水前处理。葡萄、苹果等种植园,春季松土后,杂草萌前施药,注意勿喷到葡萄及果树上。

氟乐灵trifluralin

又称茄科宁。苯胺类选择性芽前土壤处理除草剂。化学名称:2,6-二硝基-N,N-二正丙基-4-三氟甲基苯胺。化学结构式如下。纯品为橙黄色结晶固体,熔点48.5~49℃,25℃时蒸气压为137.32×10-4 Pa。几乎不溶于水,易溶于丙酮、二甲苯等溶剂。易挥发,易光解,在土壤中能被土壤胶体吸附固定,不易淋溶和冲刷。药剂通过杂草的胚芽和下胚轴吸收,影响细胞激素的形成和传递,抑制细胞分裂而导致杂草死亡。杀草谱广。棉花、大豆、油菜、花生、马铃薯、瓜类使用,防除一年生禾本科杂草和苋、藜、繁缕、蓼、萹蓄等阔叶杂草。对人、畜低毒,大鼠急性口服LD50>10 000 mg/kg,兔急性经皮LD50>2 000 mg/kg,对鱼类有高毒。

随便看

 

开放百科全书收录579518条英语、德语、日语等多语种百科知识,基本涵盖了大多数领域的百科知识,是一部内容自由、开放的电子版国际百科全书。

 

Copyright © 2000-2025 oenc.net All Rights Reserved
更新时间:2026/5/19 12:08:39