网站首页  百科知识

请输入您要查询的百科知识:

 

词条 残杀威
类别 中文百科知识
释义

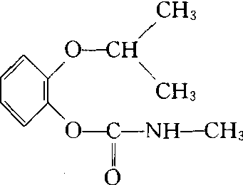
残杀威propoxur

又称Baygon,IMPC。化学名称:2-(1-甲基乙氧基)苯基氨基甲酸酯。化学结构式如下。纯品为白色晶体,熔点91℃。工业品熔点84~87℃,120℃时蒸气压为133.322×10-2 Pa,20℃时为<0.133 mPa,20℃时水中溶解度为1 750 mg/L,25℃时溶解度为0.1%。能溶于乙醇、丙酮、甲乙酮、环己酮、氯仿中。大鼠(♂)口服LD50为95 mg/kg,(♀)为104 mg/kg,小鼠(♂)口服LD50为100~109 mg/kg,经皮LD50大鼠(♂)为800~1000 mg/kg。主要用于防治室内卫生害虫、牲畜体外寄生虫,如蚊、蝇、蟑螂、蚂蚁、蟋蟀、蚤、虱、蜘蛛等,还可以防治果树、蔬菜、农作物的蚜虫、粉虱等。

随便看

 

开放百科全书收录579518条英语、德语、日语等多语种百科知识,基本涵盖了大多数领域的百科知识,是一部内容自由、开放的电子版国际百科全书。

 

Copyright © 2000-2025 oenc.net All Rights Reserved
更新时间:2025/11/10 13:11:53