网站首页  百科知识

请输入您要查询的百科知识:

 

词条 丙烯菊酯
类别 中文百科知识
释义

丙烯菊酯allethrin

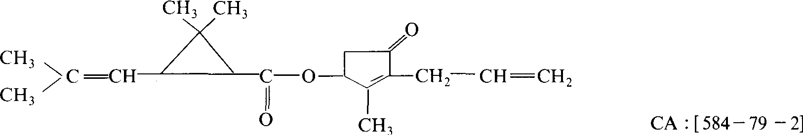
第一个结构与天然除虫菊酯相似、生物活性与天然除虫菊酯相同的合成拟除虫菊酯杀虫剂。商品名有毕那命、Pynamin等。有8个光学异构体。化学结构式:

1949年由美国谢克特(M.S.Schechter)、拉福日(F.B.La Forge)等首先报道研制成功。后由日本住友化学公司(Sumitomo Chemical Co.,Ltd.)开发生产。
性能 原药为黄至黄褐色油状粘稠液体,微有芳香味,有效成分含量75~95%,沸点140℃/13.3帕,密度d25 25 1.005~1.015,30℃时蒸气压为1.6×10-2帕。对光不稳定,对热比天然除虫菊酯稳定,弱酸性介质中较稳定,碱性介质中易分解。难溶于水,易溶于醇、四氯化碳、己烷、煤油、硝基甲烷、石油馏分、二甲苯等有机溶剂。对高等动物低毒,原药对大鼠急性经口LD50为1100毫克/千克(雄),685毫克/千克(雌),对大鼠急性经皮LD50大于2500毫克/千克,对眼有轻度刺激作用,对皮肤无刺激作用。在试验剂量内对试验动物未发现致畸、致突变和致癌作用。用含有2000毫克/千克丙烯菊酯的饲料喂养大鼠一年未发现有害影响。对鸟类低毒,对鱼类等水生生物有毒,对蜜蜂有轻微毒性。杀虫活性与天然除虫菊酯相同,属神经毒剂,具有触杀和胃毒作用,还有驱避作用。击倒力强,持效期比天然除虫菊酯长。
应用 加工成蚊香、电热片蚊香、喷射剂、气雾剂等剂型使用。用于防治蚊、蝇、跳蚤、虱子等卫生害虫。其击倒效果很强,杀虫效果较弱,如与苄呋菊酯混配或加入一定量的增效剂,可提高杀虫效果,并可用于防治爬行类卫生害虫。市场上销售的还有右旋丙烯菊酯和右旋反式丙烯菊酯,对蚊、蝇等卫生害虫的防治效果均优于一般丙烯菊酯,可加工成蚊香、电热片蚊香和气雾剂等剂型使用,并可降低用药量,与触杀作用较好的药剂混配,效果更好。

丙烯菊酯allethrin

又称pynamin、pallethrin。化学名称:(R,S)-3-烯丙基-2-甲基-4-氧代环戊-2-烯基(R,S)-顺、反-2-,2-二甲基-3-(2-甲基-1-丙烯基)环丙烷羧酸酯。化学结构式如下。为八种异构体的混合物,其中以S-烯丙醇酮的反式右旋(1R,3R)菊酸酯生物活性最高。沸点135~138℃/13.33 Pa,折光指数(n20d)1.504 020 0℃时蒸气压1 066.6 Pa。可以溶于乙醇、四氯化碳及煤油,不溶于水。大鼠口服LD50为920 mg/kg、小鼠为480 mg/kg,大鼠经皮LD50为3 700 mg/kg。对鲤TLM(45 h)1.5 mg/L。主要用于室内防除蚊、蝇等卫生害虫。

随便看

 

开放百科全书收录579518条英语、德语、日语等多语种百科知识,基本涵盖了大多数领域的百科知识,是一部内容自由、开放的电子版国际百科全书。

 

Copyright © 2000-2025 oenc.net All Rights Reserved
更新时间:2026/5/18 20:21:36