网站首页  百科知识

请输入您要查询的百科知识:

 

词条 椭圆的面积
类别 中文百科知识
释义

椭圆的面积tuoyuan de mi-anji

半长轴为a,半短轴为b的椭圆的面积为S=πab.

图1


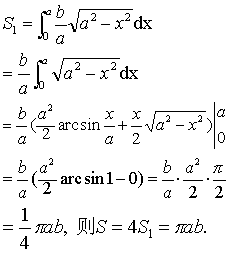
证 由于椭圆=1关于两坐标轴对称,故只需求出椭圆在第Ⅰ象限的面积(如图1)

图2


椭圆面积公式的导出可做如下说明:经过圆x

+y2=a2

和椭圆

1上横坐标相同的各点作坐标轴的平行线,分别得到如图2所示的一系列矩形,属于椭圆和属于圆的相应矩形面积比是b:a.
圆和椭圆的面积可以看作是相应的矩形面积的和在矩形底面趋于零时的极限,两个极限的比也是b:a,而

x2+y2=a2

的面积是

π2

所以椭圆

的面

积是πab.
随便看

 

开放百科全书收录579518条英语、德语、日语等多语种百科知识,基本涵盖了大多数领域的百科知识,是一部内容自由、开放的电子版国际百科全书。

 

Copyright © 2000-2025 oenc.net All Rights Reserved
更新时间:2025/11/10 13:43:11