网站首页  百科知识

请输入您要查询的百科知识:

 

词条 植物蒸腾扩散阻抗
类别 中文百科知识
释义

植物蒸腾扩散阻抗diffusive resistance of plant transpiration

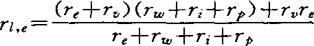
水汽从叶片内向叶片周围的乱流空气中扩散的总阻抗re,a。水汽从叶片内经叶面片流边界层向乱流空气中的扩散过程,其总阻抗为叶片内阻抗re和叶面片流边界层阻抗rv的串联:

re,a=re+rv (1)

而叶片内阻抗re有两条路径,即表皮细胞经角质层的阻抗re,或从叶肉经气孔下腔和气孔管孔的阻抗rs。由于这两条路径是并联的,故

其中第二条路径又可分为串联的三个分量

式中rw、ri和rp分别为叶肉细胞壁、气孔下腔和气孔管孔等阻抗。将(2)与(3)式代入(1)式得出植物蒸腾扩散阻抗

随便看

 

开放百科全书收录579518条英语、德语、日语等多语种百科知识,基本涵盖了大多数领域的百科知识,是一部内容自由、开放的电子版国际百科全书。

 

Copyright © 2000-2025 oenc.net All Rights Reserved
更新时间:2026/1/13 22:53:16