网站首页  百科知识

请输入您要查询的百科知识:

 

词条 植物保卫素
类别 中文百科知识
释义

植物保卫素phytoalexin

植物受侵染后产生的抗病原物的小分子化合物,简称植保素。其产生的速度和积累的量与植物非特异性抗病性有关。至今已在近21个科100多种植物中发现并鉴定了200多种植保素。植保素抗真菌最有效,有些能抗细菌、线虫和其他有害动植物。1941年缪勒(K.O. Müller)和包哥(H. Borger)提出植物体内存在这类物质。1960年克路斯克仙克(I. A. M. Cruckshank)等从未成熟的豌豆荚中首先分离鉴定了第一种植保素—豌豆素。植保素作为抗病因子已研究了40多年。目前对真菌诱发产生的植保素的研究多限于非专性寄生菌。专性寄生菌也能诱发产生植保素。由病原物产生的或细胞碎片形成的能诱发植物产生植保素的物质称为激发子。关于植保素的形成有种种假说。
植保素形成假说 较重要的有5种: ❶植保素的形成是由于酶合成的去阻遏。低浓度的病原物产物和其它物质可使植保素合成中控制合成调节酶的DNA片段去阻遏。
❷寄主植物特异性代谢物和病原物质膜上的特异性受体相互作用,使寄生物产生激发子之后,激发子又和寄主细胞相互作用,刺激植保素形成,其中寄主抗性基因和病原物无毒基因分别控制寄主代谢物和病原物质膜受体的合成。
❸植保素的合成和控制取决于侵染早期识别阶段,病原物产生的特异性激发子和寄主膜上特异性受体之间的相互作用。特异性激发子是病原物的显性无毒基因编码的,而特异性受体是寄主植物显性抗性基因编码的。
❹“双重诱导作用”假说认为植物代谢物在侵染时调节激发子形成的质和量,激发子在原位通过重新合成酶,或活化已存在的酶而调节植保素的合成。
❺存在于亲和而不是非亲和组合中,植保素形成受特异性阻遏子(repressor)所调节。特异性是受激发子和阻遏子之间的平衡所决定的。上述假说有的实验支持,也有实验反对,尚未定论。
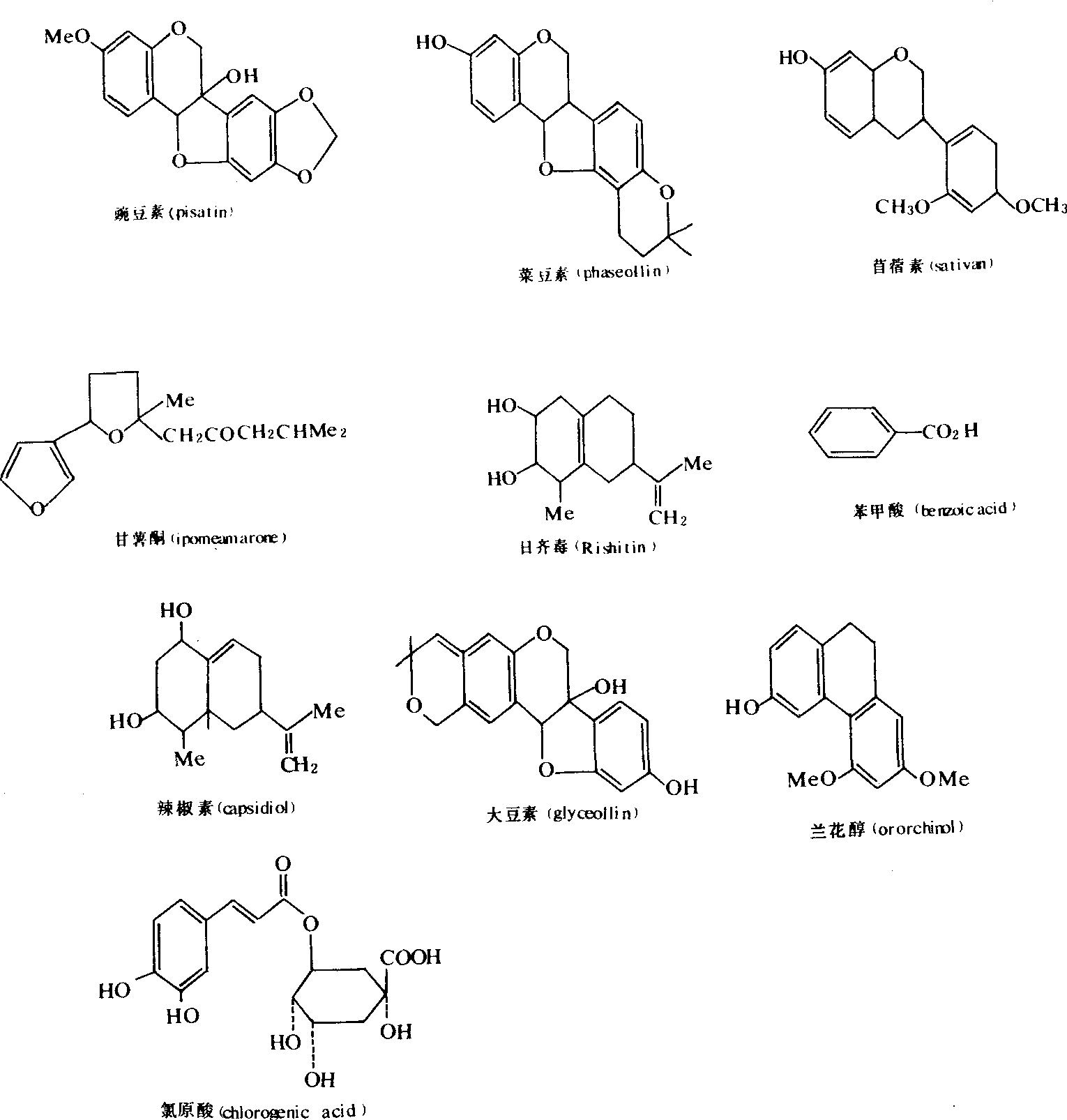
类型 植保素的种类和寄主的分类学相关,在植物科这一级有一定的专化性,一般一个科的植物产生一定类型的植保素。但个别科也能产生不同类型的植保素。如豆科植物中已发现有100种植保素,其中84种为黄酮类。茄科植物中已发现43种植保素,其中34种为萜类。在藜科、锦葵科、伞形花科、旋花科、菊科、兰科中也分离鉴定了植保素。已知的植保素多数结构较复杂。多属于黄酮类和萜类。代表性植保素结构(图1)。

图1 代表性植保素结构图


黄酮类 主要存在于豆科植物中,有代表性的是豌豆素、菜豆素、大豆素和苜蓿素等。豌豆感染褐腐病积累豌豆素。菜豆感染炭疽病或立枯病后,在体内很快形成菜豆素。大豆对大雄疫霉的抗性,部分是由于寄主组织中积累了大豆素。致病菌刺激形成的大豆素的能力大于非致病菌;抗病品种较感病品种形成更多的大豆素。黄酮类植保素在体内的生物合成途径是乙酸—丙二酸途径和莽草酸途径混合形成。丙二酰辅酶A和香豆酰辅酶A经黄烷酮合成酶加工成查尔酮,然后由查尔酮再衍生为各种黄酮类(图2)。

图2 类黄酮植保素生物合成途径


萜类 主要从茄科的马铃薯和旋花科的甘薯中获得。典型的有甘薯酮、日齐素和辣椒素等。甘薯感染黑斑病菌发生黑斑病后,体内萜类植保素增加,其量和染病部位的距离有关,越接近感病部位含量越多。抗病性强的品种较抗病性弱的品种含量高。马铃薯块茎感染马铃薯晚疫病菌后,可分离得到日齐素,在块茎及叶柄组织中,抗病品种较感病品种积累速度更快,量更大。萜类植保素的生物合成途径是乙酸—甲瓦龙酸途径。甘薯酮的合成途径图3。
激发子 来源于病原物的化合物(病原物的水解、热水浸提物及胞壁物质等),在植物体内可激发与病原物作用相同的反应,产生并积累植保素。例如用大豆大雄疫霉的激发子处理培养6~8天的大豆子叶,能积累大豆素。用豆炭疽病菌、大豆大雄疫霉、灰霉病菌的激发子处理菜豆的悬浮细胞,积累菜豆素。根据植物和病原物相互作用的研究,激发的作用方式有4种类型: ❶病原物直接产生激发子被植物细胞识别,受体的位置位于细胞的质膜上,如大豆。
❷病原物的酶使寄主细胞壁降解所释放的细胞壁组分,激发植物产生植保素,例如软腐细菌及根霉菌的内聚半乳糖酸裂解酶及其它真菌释放的果胶酶有此作用。
❸植物酶作用于病原物所释放细胞壁物质,激发植物产生植保素。如在大豆中分离到β—1,3-内葡聚糖酶能使疫霉菌细胞壁释放具激发子活性组分。
❹植物细胞受各种刺激后所形成或释放的内源激发子化合物。它们可能部分和来源于因真菌酶释放的植物细胞壁组分相同,如部分酸水解或热水提取植物细胞,从细胞壁获得的具有激发子活性的寡糖。细胞受伤后也会释放具激发子活性的代谢物。激发子的作用机制还不很清楚,有的认为植物细胞来源的小分子化合物在细胞间传递方面起作用;也有认为激发子过程可能包含第二信使的作用,这些化合物从质膜传递信号,启动酶的转录和翻译。
代谢与调控 病原真菌及产生植保素的植物均能代谢植保素,有时植保素在植物体内的转换率对调节受侵组织中植保素的积累起主要作用。真菌代谢植保素的途径是多样化的,绝大多数已知真菌代谢植保素是通过氧化作用、水合作用、羰基还原作用或醚的裂解产生新的羟基以及去甲基作用,并转化为低毒、极性大的产物,有时代谢变化不仅增加极性,也改变分子性状。已证明单氧化酶常常起作用。茄镰孢菜豆专化型代谢菜豆素,以及血球状丛刺壳菌代谢豌豆素表现去甲基作用。灰霉病菌能代谢维罗尼及维罗尼环氧化物,还原为相应的醇。倍半萜鲁必敏已被还原为醇。辣椒素可被灰霉病菌及尖镰孢菌氧化为辣椒酮。植保素毒性和结构的关系,病原物代谢植保素的能力和致病性之间关系十分复杂,不是简单的相关性。病原物代谢寄主植保素在病害中是否起重要作用尚不清楚。植保素对许多病原物有毒,但不同种真菌对植保素敏感性显著不同,这与代谢去毒能力有关。用遗传分析的方法得知,不能代谢豌豆素使之去甲基的菌株,对植保素较敏感,对豌豆不致病或表现低毒。对豌豆具高度或中度低毒性的菌株,能使豌豆素去甲基,并能忍受豌豆素。但也有些低毒性的菌株能忍受豌豆素并使之去甲基,表明只以去甲基作用来说明病菌对豌豆的毒性是不够的,还应考虑毒性基因也是参与作用的。一般认为真菌对植保素的代谢是毒性所必需的特性。

图3 甘薯酮的生物合成途径


植物也可代谢植保素,在苜蓿中曾证实梅的卡品可被代谢转化为异黄酮维斯的拖。和真菌的代谢一样,菜豆能使菜豆素转化为菜豆素异黄酮。辣椒可代谢辣椒素使13位碳直接羟基化。马铃薯能将日齐素代谢为二个毒性较低的产物。甘薯可将甘薯酮代谢为4-羟基甘薯酮。
总之,植保素可能在某些寄主—病原物系统中起一种作用,如大豆—大雄疫霉系统。而在许多寄主—病原物相互作用中,植保素和抗病的关系还不明确,至今还不是一个普遍的规律。

植物保卫素phytoalexin

又称植物防卫素。植物低分子量的抗菌性代谢产物。在健康植株中其含量甚微,当遭受病原物侵染或某些生理、物理因素刺激后,引发其产生机构或阻遏其降解机构,从而迅速合成或积累到较高水平。1940年,最早在接种晚疫病菌的马铃薯块茎中发现这类物质,现已证实21科100余种植物都能合成。迄今已确定了90余种植物保卫素的化学结构。植物保卫素对真菌的抗菌作用最强,对细菌、线虫、高等植物和动物也可能有毒性。多数保卫素是类黄酮和类萜化合物,著名的有日齐素(rishitin)、豌豆素(pisatin) 、菜豆素(pha-seollin)、大豆素(glyceollin)等。

随便看

 

开放百科全书收录579518条英语、德语、日语等多语种百科知识,基本涵盖了大多数领域的百科知识,是一部内容自由、开放的电子版国际百科全书。

 

Copyright © 2000-2025 oenc.net All Rights Reserved
更新时间:2026/5/19 18:58:13