网站首页  百科知识

请输入您要查询的百科知识:

 

词条 棉籽糖
类别 中文百科知识
释义

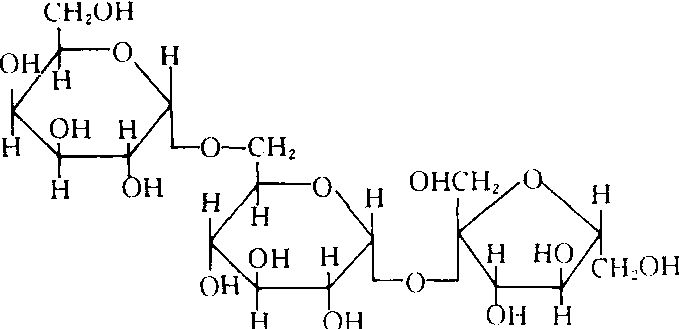
棉籽糖raffinose

α-D-吡喃半乳糖与蔗糖去水缩合,以α1→6糖苷键连接而成的三糖。结构式如下。无还原性。被酸彻底水解为D-半乳糖、D-葡萄糖和D-果糖;被α-半乳糖苷酶水解为D-半乳糖和蔗糖;被β-果糖苷酶水解为D -果糖和蜜二糖。广泛存在于植物界,已在46个科的165种植物中发现。在棉籽、甜菜和桉树中含量很高。

随便看

 

开放百科全书收录579518条英语、德语、日语等多语种百科知识,基本涵盖了大多数领域的百科知识,是一部内容自由、开放的电子版国际百科全书。

 

Copyright © 2000-2025 oenc.net All Rights Reserved
更新时间:2026/5/18 17:27:53