网站首页  百科知识

请输入您要查询的百科知识:

 

词条 样本标准差分布
类别 中文百科知识
释义

样本标准差分布

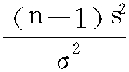
依赖于样本所属总体的分布。当总体X~N(μ,σ2)时,记样本标准差为s,那么~x2(n-1)。常被应用于测验分数统计中。

随便看

 

开放百科全书收录579518条英语、德语、日语等多语种百科知识,基本涵盖了大多数领域的百科知识,是一部内容自由、开放的电子版国际百科全书。

 

Copyright © 2000-2025 oenc.net All Rights Reserved
更新时间:2026/1/12 22:23:40