网站首页  百科知识

请输入您要查询的百科知识:

 

词条 来福灵
类别 中文百科知识
释义

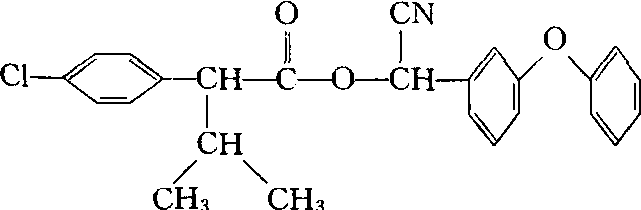
来福灵esfenvalerate

又称顺式氰戊菊酯、sumialpha、asana。化学名称:(S)-α-氰基-3-苯氧苄基(S)-2-(4-氯苯基)-3-甲基丁酸酯。化学结构式如上。是氰戊菊酯四个光学异构体之一,(S)(S)顺式氰戊菊酯在四个异构体中毒力最大,是氰戊菊酯毒力的4倍。理化性质、毒性及防治对象与氰戊菊酯相似。对氰戊菊酯已产生抗性的害虫,对来福灵产生交互抗药性。

随便看

 

开放百科全书收录579518条英语、德语、日语等多语种百科知识,基本涵盖了大多数领域的百科知识,是一部内容自由、开放的电子版国际百科全书。

 

Copyright © 2000-2025 oenc.net All Rights Reserved
更新时间:2026/1/13 18:58:11