网站首页  百科知识

请输入您要查询的百科知识:

 

词条 杀鼠迷
类别 中文百科知识
释义

杀鼠迷coumatetralyl

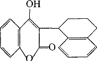
安全广谱抗凝血性香豆素类杀鼠剂。化学结构式:

1957年联邦德国拜耳公司开发。
性能 黄白色结晶粉末,熔点172~ 176℃,无味,无臭。20℃时溶解度: 水4毫克/升,二氯甲烷50~ 100克/升,异丙醇20~ 50克/升。150℃以下稳定。醇式有酸的特性,能与碱金属成盐。对大鼠亚急性LD50为5×0.3毫克/千克。对鲤鱼48小时接触LC50>40毫克/升,对水蚤>40毫克/升。杀鼠谱广,无忌饵作用,未发现二次中毒现象,对猫相当安全。
应用 可用粉剂、毒饵或毒水防治室内褐家鼠、小家鼠等及野栖黄鼠、砂土鼠等鼠类。毒饵浓度0.0375%。投药后15天内可维持良好杀鼠效果。10~15天投一次药。注意保管,严防误食。可用维生素K1解毒。

杀鼠迷coumatetralyl

又称立克命。第一代慢性、广谱抗凝血杀鼠剂。化学名称:4-羟基-3-(1,2,3,4-四氢-1-萘基)香豆素。化学结构式如下。纯品为白色结晶粉末,熔点172~176℃。20℃时蒸气压为133.322×10-10Pa,几乎不溶于水,微溶于乙醚和苯,能溶于乙醇和丙酮。在阳光下迅速分解。高效,适口性好。破坏凝血机能,损害微血管,引起内出血,中毒潜伏期3~6天。能有效地杀灭对杀鼠灵产生抗性的害鼠。防除小家鼠、大家鼠,用毒饵法连续投饵或一次性投饵,大鼠急性口服LD505~25 mg/kg,急性经皮LD5025~50 mg/kg。对猫、狗和鸟类无二次中毒危害。解毒剂为维生素K。

随便看

 

开放百科全书收录579518条英语、德语、日语等多语种百科知识,基本涵盖了大多数领域的百科知识,是一部内容自由、开放的电子版国际百科全书。

 

Copyright © 2000-2025 oenc.net All Rights Reserved
更新时间:2026/5/19 19:23:00