网站首页  百科知识

请输入您要查询的百科知识:

 

词条 杀螨特
类别 中文百科知识
释义

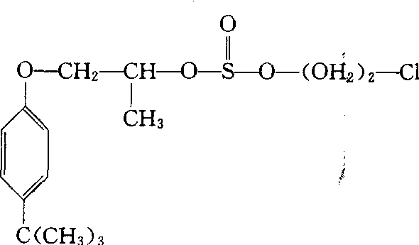
杀螨特aramite

有机硫杀螨剂。化学名称:2-(对-特丁基苯氧基)异丙基-2′-氯-乙基亚硫酸酯。化学结构式如下。原药为无色液体,沸点为175℃(13.33 Pa),密度为1.145~1.62(20℃),不溶于水,可与大多数有机溶剂互溶。在中性下稳定,遇强酸、强碱分解,阳光照射下分解,遇水分解。对成螨有强烈而迅速的触杀作用,残效期约7~10天。大鼠急性口服LD50为3900mg/kg。美国农部限用于非食用作物上。

随便看

 

开放百科全书收录579518条英语、德语、日语等多语种百科知识,基本涵盖了大多数领域的百科知识,是一部内容自由、开放的电子版国际百科全书。

 

Copyright © 2000-2025 oenc.net All Rights Reserved
更新时间:2026/1/12 20:13:17