网站首页  百科知识

请输入您要查询的百科知识:

 

词条 杀螟威
类别 中文百科知识
释义

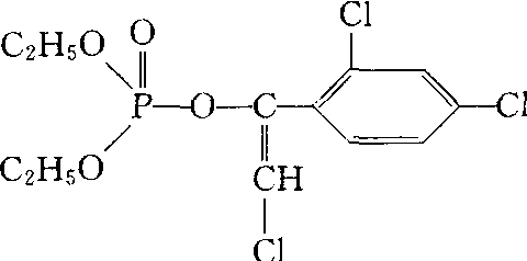
杀螟威

又称毒虫畏。化学名称:O,O,-二乙基2-氯-1(2,5-二氯苯基)乙烯基磷酸酯。化学结构式如下。工业品为琥珀色油状液体,沸点156~158℃/33.33 Pa,密 度(d420) 1.5392,折光率(nd20)1.53。是毒杀畏(又称 Chlorfenvinphos 或Birlane)的异构体,后者毒性较大,苯环上的氯在2,4位置。杀螟威有较强的触杀和胃毒作用,可以用来防治水稻螟虫、各种蚜虫、粘虫、玉米螟及果树害虫。对大鼠口服LD50为56 mg/kg(毒杀畏是10~39 mg/kg)。

随便看

 

开放百科全书收录579518条英语、德语、日语等多语种百科知识,基本涵盖了大多数领域的百科知识,是一部内容自由、开放的电子版国际百科全书。

 

Copyright © 2000-2025 oenc.net All Rights Reserved
更新时间:2025/11/10 13:42:23