网站首页  百科知识

请输入您要查询的百科知识:

 

词条 杀虫脒
类别 中文百科知识
释义

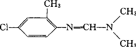
杀虫脒chlordimeform

最早开发的甲脒类杀虫杀螨剂。化学结构式:

1966年联邦德国先灵公司(Schering AG)和瑞士汽巴公司(Ciba AG)开发。
性能 纯品为白色结晶,熔点32~35℃,沸点163~ 165℃ /1866.48帕。20℃时蒸气压为4.666×10-2帕。20℃时水中溶解度250毫克/升,在丙酮、苯、氯仿、乙酸乙酯、己烷、甲醇中溶解度大于20%。与酸作用形成盐。杀虫脒盐酸盐熔点225~227℃(分解),溶解度: 水大于5%,甲醇大于30%,氯仿1~2%,苯和己烷0.1%。酸性溶液中稳定,中性溶液中易析出结晶,遇碱分解。急性毒性中等。原药急性口服LD50对大鼠为340毫克/千克,急性经皮LD50对兔大于4000毫克/千克。其盐酸盐急性口服LD50对大鼠为270毫克/千克,急性经皮LD50对家兔大于4000毫克/千克。慢性毒性属高毒。杀虫脒及生产用中间体和代谢产物邻甲苯胺和对氯邻甲苯胺对小鼠有致癌作用,对人体有潜在的致癌危险性,很多国家已禁止生产和使用。对鱼类、蜜蜂、害虫天敌影响小。对家蚕有毒。有胃毒、触杀、拒食作用,也有一定杀卵和内吸传导作用,残效较长。
应用 用于防治棉花和水稻害虫。❶防治棉叶螨、棉铃虫、棉红铃虫等。每公顷用25%水剂2250~3000克对水喷施。
❷防治水稻二化螟、三化螟、稻纵卷叶螟。每公顷用25%水剂2250克,于螟虫盛孵前3~5天,以毒土或泼浇方式施入水层3~ 6厘米的稻田中。在整个水稻生长期只准用 一次. 安全间隔期50天。不准在其他粮食、油料、蔬菜、果树、药材、茶叶、烟草、甘蔗、甜菜等作物上使用。(张瑞亭)
杀虫双 具有链状结构的人工合成沙蚕毒类杀虫剂。化学结构式:

1970年日本首先合成,1974年中国贵州省化工研究所进行开发,后投入生产。
性能 纯品为白色结晶,无臭味,带有两个分子结晶水,熔点169~ 171℃ (分解),有吸湿性,在碱性介质中较稳定,在酸性介质中易分解。常温下密闭贮存较稳定。易溶于水,溶于95%热乙醇和无水热乙醇,也溶于甲醇、二甲基甲酰胺、二甲基亚砜,不溶于乙酸乙酯、乙醚等溶剂。对高等动物毒性中等,对雄性大鼠急性经口LD50为451毫克/千克,对雌性小鼠急性经口LD50为234毫克/千克,对眼睛和皮肤未发现刺激作用。在试验剂量内对试验动物未发现致畸、致突变和致癌作用。暂定对人每日允许摄入量(TADI)为0.025毫克/千克。对鱼类等水生生物毒性中等,对家蚕有毒,对天敌安全。杀虫活性较高,属神经毒剂,主要起触杀和胃毒作用,还具有内吸、熏蒸和杀卵作用。能被植物的叶、根吸收后传导并分布至整个植株。残效期较长。昆虫中毒后无兴奋现象,出现迟钝、行动缓慢、停止取食,并导致麻痹、停止发育、虫体软化瘫痪,直至死亡。杀虫谱较广,对鳞翅目、鞘翅目、半翅目、缨翅目等多种咀嚼式口器害虫、刺吸式口器害虫、叶面害虫和钻蛀性害虫有效。
应用 加工成水剂、颗粒剂等剂型使用。用于水稻、蔬菜、果树、茶树、甜菜、油菜、甘蔗等作物地,防治水稻螟虫、稻蓟马、稻苞虫、负泥虫、稻蝗,菜青虫、黄守瓜、蚜虫、黄条跳甲、小菜蛾、菜螟,柑桔潜叶蛾、柑桔达摩凤蝶、苹果钻心虫、苹果螨、梨小食心虫、梨星毛虫、梨蚜、桃蚜,茶毛虫、茶小绿叶蝉,甜菜白带螟,油菜青虫、油菜蚜虫,玉米螟、大螟、玉米铁甲虫,甘蔗条螟、大螟、甘蔗蓟马、甘蔗飞虱等。
一些作物对杀虫双敏感,如豆类、棉花等不宜使用。十字花科蔬菜幼苗也较敏感,在夏季高温及植株生长幼弱时不宜使用。与有机磷、氨基甲酸酯、拟除虫菊酯杀虫剂轮换使用,有利于延缓害虫对这些药剂抗药性的产生,也可用于防治对这些药剂产生抗药性的害虫。
类似品种 杀虫单。化学结构式:

对高等动物毒性中等,对大鼠急性经口LD50为330~400毫克/千克。加工成可溶性粉剂,防治对象与杀虫双相同。

杀虫脒

有机氮杀虫剂。化学名:N,N-二甲基-N′-(2-甲基-4-氯苯基)甲脒,取代六六六和高毒有机磷农药的品种之一。用于水稻、棉花。对害虫有拒食、忌避、杀卵作用。植物根、茎、叶均可吸收,药效慢、有效期长。其分解代谢产物有两次毒性的危险。按规定:在棉花上施药后,其棉籽油禁止食用;在水稻生育期使用按规定时间和剂量只能用一次;不得在油料、蔬菜、茶、烟等作物上使用。

杀虫脒chlordimeform

又称克死螨、cralecron。甲脒类杀虫杀螨剂。化学名称如下。N-二甲基-N'-(2-甲基-4-氯苯基)甲脒。化学结构式如下。1978年瑞士汽巴一嘉基公司报道杀虫脒在动物体内的代谢物:甲酰基4氯邻甲苯胺或4氯邻甲苯胺都是致癌物质,能引起慢性中毒。纯品雄大鼠急性经口LD50为178~220 mg/kg,大鼠经皮LD50为170~400 mg/kg。原药雄大鼠经口无作用剂量为100 mg/kg,鲤鱼LC50(48 h)40mg/L,红鳟鱼LC507.1 mg/L,鸭LC50>1 000 mg/L。中国1992年停止生产和销售。

随便看

 

开放百科全书收录579518条英语、德语、日语等多语种百科知识,基本涵盖了大多数领域的百科知识,是一部内容自由、开放的电子版国际百科全书。

 

Copyright © 2000-2025 oenc.net All Rights Reserved
更新时间:2025/11/10 17:35:46