网站首页  百科知识

请输入您要查询的百科知识:

 

词条 杀草敏
类别 中文百科知识
释义

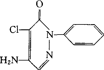
杀草敏chloridazon

又称甜菜灵。有机杂环类选择性除草剂。化学名称:5-氨基-4-氯-2-苯基哒嗪-3-酮。化学结构式如下。纯品为淡黄色无臭固体,熔点205~206℃,40℃时蒸气压986.6×10-2 Pa,易挥发。微溶于水和甲苯,稍溶于丙酮、甲醇,性质稳定。在土壤中可被杂草胚芽鞘吸收,抑制细胞分裂使杂草死亡。苗后施药能被茎叶吸收,抑制光合作用,杂草因饥饿而死亡。适于甜菜、萝卜和洋葱等作物防除藜、苋、蓼、荠、繁缕等一年生阔叶杂草。甜菜播前、播后苗前、1~3叶期或移栽后3~4天使用。对人、畜低毒,大鼠急性口服LD50为3 030 mg/kg,对皮肤有轻微刺激作用。

随便看

 

开放百科全书收录579518条英语、德语、日语等多语种百科知识,基本涵盖了大多数领域的百科知识,是一部内容自由、开放的电子版国际百科全书。

 

Copyright © 2000-2025 oenc.net All Rights Reserved
更新时间:2026/5/19 19:23:54