网站首页  百科知识

请输入您要查询的百科知识:

 

词条 杀草净
类别 中文百科知识
释义

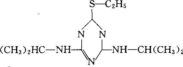
杀草净dipropetryn

三氮苯类内吸、选择性除草剂。化学名称:2-乙硫基-4,6-双(异丙胺基)-均三氮苯。化学结构式如下。纯品为白色固体,熔点104~106℃,几乎不溶于水,易溶于有机溶剂,在土壤中淋溶性差。可通过根部内吸,抑制植物的光合作用。适用于棉田、西瓜田使用,防除一年生禾本科杂草与阔叶杂草,如稗草、碱草、马唐、千金子、苋、藜、蓼、牵牛花、龙葵等。对人、畜低毒,大鼠急性口服LD50>5 000 mg/kg。

随便看

 

开放百科全书收录579518条英语、德语、日语等多语种百科知识,基本涵盖了大多数领域的百科知识,是一部内容自由、开放的电子版国际百科全书。

 

Copyright © 2000-2025 oenc.net All Rights Reserved
更新时间:2026/5/18 22:52:29