网站首页  百科知识

请输入您要查询的百科知识:

 

词条 有理函数的不定积分
类别 中文百科知识
释义

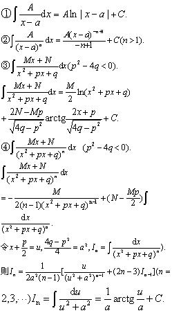
有理函数的不定积分youlihanshu de budingjffen

借助多项式除法可将有理函数的不定积分化为多项式的不定积分和真分式的不定积分,而将真分式分解为部分分式后,其不定积分可以化为下列四类分式的不定积分

由于以上四类不定积分都可求出,并且表成初等函数,所以,一切有理函数的不定积分都可以表示成初等函数,这些初等函数仅包含多项式,真分式、对数函数和反正切函数。

随便看

 

开放百科全书收录579518条英语、德语、日语等多语种百科知识,基本涵盖了大多数领域的百科知识,是一部内容自由、开放的电子版国际百科全书。

 

Copyright © 2000-2025 oenc.net All Rights Reserved
更新时间:2025/11/10 1:30:40