网站首页  百科知识

请输入您要查询的百科知识:

 

词条 有向图
类别 中文百科知识
释义

有向图youxiangtu

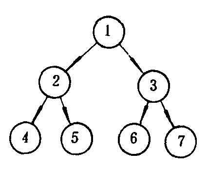
图1

图2

(吴文虎)


比树更为一般化的数据结构.图中的数据元素通常称为顶点.数据元素间的关系,就是顶点间的邻接关系.有向图的顶点间的邻接关系称为弧,用带箭头的线表示.下图1表示一个有向图.假如图中的五个顶点分别表示城市1,城市2,…,城市5.顶点间的连线表示航线,箭头指出方向.从顶点1至顶点2,起点处称为弧尾,终点处称为弧头对城市1,有一条航线可达城市2,有一条航线可达城市5;对应图中有弧尾的数目为2,称顶点1的出度为2.只有城市3有一航线可达城市1,图中指向顶点1的弧头的数目为1,称顶点1的入度为1.

图1

图1


只有一个顶点的入度为0,而其余顶点的入度均为1的有向图,是一棵有向树,如图2,只有顶点1的入度为0.从这一点也可以说树是图的特例,图是比树更为一般化的数据结构.
图的应用极为广泛,诸如电子线路分析、系统工程、控制论、遗传学、逻辑学、语言学、计算机科学,以至社会科学中的许多学科,都把图结构作为解决问题的手段之一.
随便看

 

开放百科全书收录579518条英语、德语、日语等多语种百科知识,基本涵盖了大多数领域的百科知识,是一部内容自由、开放的电子版国际百科全书。

 

Copyright © 2000-2025 oenc.net All Rights Reserved
更新时间:2025/11/9 21:00:47