网站首页  百科知识

请输入您要查询的百科知识:

 

词条 最小二乘法
类别 中文百科知识
释义

最小二乘法zuixiao erchengfa

19世纪初,著名数学家高斯和P. S. 拉普拉斯由于研究误差分析而引进了最小二乘法,这个方法经过A. A.马尔可夫等许多学者的发展,成为统计分析上一个极为重要的方法。
最小二乘法原理如下:
设y是变量x1 ,x2 ,…,xn的函数,含有k个参数a1,a2,“ …,ak。即

y =f(a1,a2,…,ak;x1,x2,…,xm)。


今对y和x1,x2,…,xm作n次观测得(x1i,x 2i,…,xmi;y i) (i=1, 2, …, n),于是y的理论值=f (a1 ,a2 ,…,ak; x1i,x 2i,…,xmi)与观察值yi的绝对误差为|yi-i| (i=1, 2,…, n),式中有绝对值记号,不便于进一步分析讨论,由于任何实数的平方都是正数或零,因此,可以要求上面n个误差在平方和最小的意义下,使得函数y=f (a1,a2,…,ak ; xi1 ,xi2,…,xim)与观测值y1,y2,…,y n最佳拟合,也就是参数a1 ,a2,…,ak应使

 =最小值
由微分学的求极值方法可知a1,a2 ,…,ak应满足下列方程组


这种根据偏差的平方和为最小的条件来选择参数a 1,a 2 ,…,a k的方法叫做最小二乘法。

最小二乘法

一种常用的数学方法。在实验中获得了自变量与因变量的若干个数对(x1,y1),(x2,y2),…,(xn,yn),要找出一个已知类型的函数y=f(x)(如线性函数y=ax+b等),使得偏差平分和最小。 常用于工程技术和科学研究的数据处理。

最小二乘法

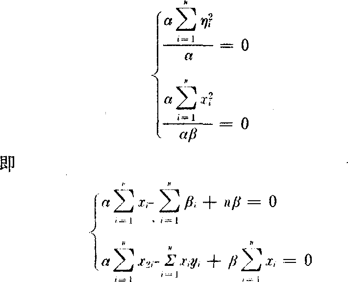
考虑一个简单的例子。对x的一系列选定值x1,x2,…,xn,测出了y的相应值y1,y2,…,yn, 且

现要求出α和β的最佳值满足以上线性方程组。设ηi=yi—(αxi+β),利用最小而求出α和β使xi和yi最大限度地满足y=αx+β,这个近似表达式叫经验公式,这种根据偏差ηi的平方和为最小的条件来选择常数α和β的方法,叫最小二乘法。对上例,利用函数的极值条件有:


由此求出α和β。经验表明,在一般情况下,这样确定的经验公式可以很好地拟合给定的数据。最小二乘法是由勒让德提出的,在实践中应用广泛。
随便看

 

开放百科全书收录579518条英语、德语、日语等多语种百科知识,基本涵盖了大多数领域的百科知识,是一部内容自由、开放的电子版国际百科全书。

 

Copyright © 2000-2025 oenc.net All Rights Reserved
更新时间:2026/1/13 15:53:51