网站首页  百科知识

请输入您要查询的百科知识:

 

词条 春雷霉素
类别 中文百科知识
释义

春雷霉素kasugamycin

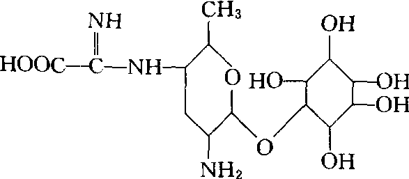
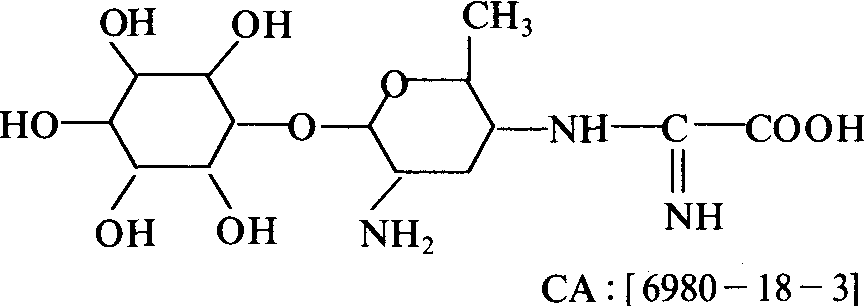
强内吸选择性抗生素类杀菌剂。化学结构式:

日本首先由奈良县土壤中分离出的放线菌M-338(Streptomyces kasugaensis)的代谢物中制得,1963年由北兴化学工业公司推广生产。中国1964年从江西泰和县土良地区土壤中分离出的小金色放线菌(Streptomyces basugaensis)代谢物中制得。
性能 以盐酸盐形式存在。日本报道其盐酸盐为白色针状结晶,熔点为202~ 204℃,在204℃分解。中国春雷霉素的盐酸盐为白色针状或片状结晶,熔点206~210℃,并在210℃分解。易溶于水,微溶于甲醇,不溶于乙醇、丙酮、苯等有机溶剂,在酸性和中性溶液中比较稳定,在pH5条件下,于5℃贮存10周,效价不变,而在pH9条件下,效价则降至42.6%。低毒。原粉对小鼠急性口服LD 50>8000毫克/千克,对大鼠急性经皮>4000毫克/千克。大鼠急性吸入LC50>2.4毫克/升。对鼠眼和皮肤无刺激,在动物体内无明显蓄积作用。试验未发现致突变、致畸和致癌作用。繁殖试验和迟发性神经毒性试验未见异常。两年慢性饲喂试验,大鼠无作用剂量为1000毫克/千克。对鱼和水生生物低毒,对鲤鱼48小时TLm>40毫克/升,对蜜蜂毒性较低,无作用剂量> 40微克/只。对鸟低毒,对鹌鹑LD50 > 4000毫克/千克,对家蚕无作用剂量>20毫克/千克。对稻瘟病高效,在很低的浓度下,就能得到良好的防治效果,内吸性强,易被植株吸收并在体内传导。耐雨水冲刷,在喷药后3~ 5小时降雨,对药效无影响。药剂离体杀菌活性很差,但被植株体吸收后,可有效地控制菌丝在组织中的蔓延,而表现出内吸治疗作用。其作用机制为干扰酯酶系统,影响氨基酸代谢,从而影响蛋白质合成,同时表现出对菌丝体发育的抑制作用。对孢子萌发无影响。
应用 主要用于防治稻瘟病。防治叶稻瘟时,在发病初期用药。防治穗稻瘟病时,于孕穗末期和齐穗期各喷药一次。每次用药量为有效成分22.5~30克/公顷。在喷洒液中加入适量的展着剂,如中性肥皂,可提高防病效果。此外,也用于高粱炭疽病的防治。药剂对水稻、高粱安全,对大豆有药害。它与稻瘟净或克瘟散混用,可提高对稻瘟病的防治效果。

春雷霉素kasugamycin

农用抗菌素。由小金包放线菌(Streptomyces kasugaensis)产生的代谢产物。化学名称: [5 -氨-2-甲基-6-(2,3,4,5,6-五羟基环己基氧代)吡喃-3-基]氨基-α-亚氨醋酸。化学结构式如下。中国科学院微生物研究所从江西土壤中分离到春雷霉素产生菌种,其发酵液提取的结晶,1970年定名为春雷霉素。纯品为盐酸盐白色结晶,熔点206~210℃ ,25℃时水中溶解度12.5%(W/V),不溶于甲醇、乙醇、丙酮等有机溶剂,中性和酸性溶液中稳定,pH9时活性下降为42.6%。春雷霉素对多种细菌、酵母、丝状真菌抑制浓度在50~200μg/ml,对水稻稻瘟菌浓度为0.1μg/ml。它对稻瘟病菌的作用机制是干扰氨基酸代谢酯酶系统,从而影响蛋白质的合成,抑制菌丝生长和孢子形成。水稻植株试验具强内吸作用,田间使用40单位药液喷洒对防治稻瘟病具预防和治疗作用。在使用剂量下对水稻叶片和结实均无影响,但对邻近大豆有轻微药害。亦可用于防治高粱炭疽病。小白鼠急性经口LD50>8 000 mg/kg、大鼠急性经皮LD50>4 000 mg/kg,对眼、皮肤无刺激作用。体内无明显蓄积作用,慢性毒性试验无致畸、致癌、致突变作用,对水生生物及鱼毒性较低。

随便看

 

开放百科全书收录579518条英语、德语、日语等多语种百科知识,基本涵盖了大多数领域的百科知识,是一部内容自由、开放的电子版国际百科全书。

 

Copyright © 2000-2025 oenc.net All Rights Reserved
更新时间:2026/5/19 15:13:39