昆虫蜕皮激素insect ecdysone
调节昆虫蜕皮过程的昆虫激素。这类激素已有不少研究报道,由于合成难、成本高目前还很少在害虫防治上实际应用。
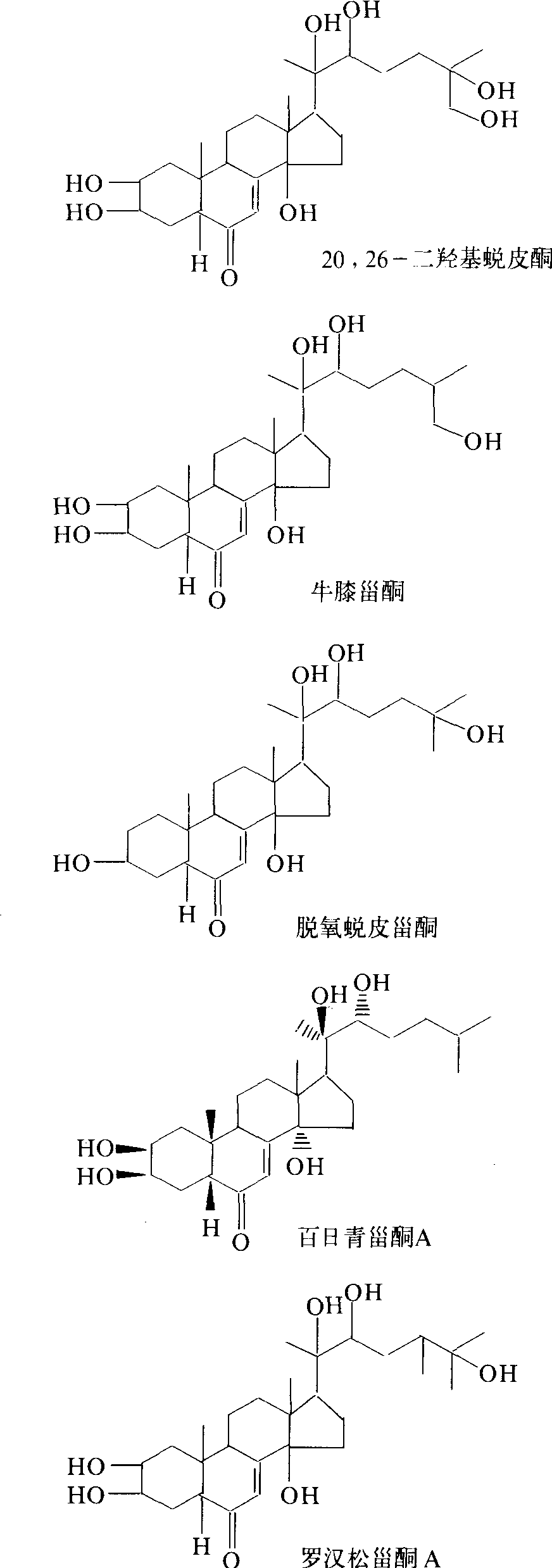
简史 1922年,波兰学者用结扎实验证明,舞毒蛾幼虫脑产生激素,能控制幼虫化蛹。1940年,日本福田宗一报道,前胸腺是控制家蚕变态的内分泌中心。1954年,德国的布特南特(A.Butenandt)和卡尔松(P.Karlson)从蚕蛹中分离出有蜕皮活性的粗结晶物——α-蜕皮酮(α-Ecdysone)。1956年,卡尔松等人从海螯虾中分离出β-蜕皮酮(β-tecdysone)。1966年,日本的中西香尔从台湾植物百日青(Podocarpus nakaii)中分离出有蜕皮活性的百日青甾酮(ponasterone A),竹本常松等人从一种牛膝属植物中分离出牛膝甾酮(inokosterone)。现在发现含蜕皮激素的植物达1000多种,从中分离出40多种有蜕皮活性的甾族化合物,统称为植物源蜕皮激素。有的植物含蜕皮激素的量高达1%。1969年,日本人发现将蜕皮激素加到5龄家蚕饲料中,食后约24小时一齐变成成熟蚕,为蜕皮激素在养蚕业上找到了用途。中国从1973年开始从植物中提取蜕皮激素,用作蚕的增丝剂。
品种类型 从来源上可分为动物源蜕皮激素和植物源蜕皮激素两类。有的蜕皮激素动、植物体内都有,均为甾酮类化合物,大多含有2β,3β,14α- 三羟基-7-烯-6-甾酮基团,只是支链上有差别。α-蜕皮酮主要从家蚕、柞蚕等昆虫中分离出来。β-蜕皮酮存在于昆虫体内、海虾等甲壳动物及许多植物中。植物蜕皮激素中比较重要的有百日青甾酮A、牛膝甾酮、罗汉松甾酮A。较为重要的蜕皮激素的化学结构如下:


性能和应用 蜕皮激素的主要作用是调节昆虫的蜕皮过程。昆虫幼虫或若虫期,由脑神经细胞分泌出脑激素,作用于前胸腺,使其分泌蜕皮激素; 作用于咽侧体,则分泌保幼激素。在蜕皮激素和保幼激素的协调作用下,幼龄幼虫或幼小若虫经过几次蜕皮仍保持幼虫或若虫特征而长大发展到末龄幼虫,不再分泌保幼激素,在蜕皮激素作用下,幼虫蜕皮化成蛹,蛹或末龄若虫蜕皮化为成虫。将外源蜕皮激素施于蛹或幼虫,剂量较高时,能扰乱昆虫的正常代谢,使其提前蜕皮或变态,形成小成虫或畸形个体。黄粉虫蛹注射25微克β-蜕皮酮后,蜕皮成第二次蛹; 樗蚕蛹经处理后提前羽化成表皮无鳞片的成虫而过早死亡。上蓍前对5龄家蚕喷施蜕皮激素或饲喂含蜕皮激素的桑叶,可促进蚕老熟,上蓍整齐,而且不影响蚕的体质。