的积分,百科知识,百科全书,中文百科,英文百科,百科全书电子版">

网站首页  百科知识

请输入您要查询的百科知识:

 

词条 无理函数的积分
类别 中文百科知识
释义

无理函数的积分wuli hanshu R (x,

是关于的有理函数,n是大于1的自然数. 为了求积分于是等式右端是t的有理函数的积分,从而可表为初等函数.
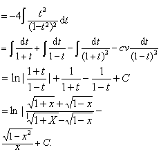
例 求
解 设
at于是

随便看

 

开放百科全书收录579518条英语、德语、日语等多语种百科知识,基本涵盖了大多数领域的百科知识,是一部内容自由、开放的电子版国际百科全书。

 

Copyright © 2000-2025 oenc.net All Rights Reserved
更新时间:2026/5/18 19:30:39