网站首页  百科知识

请输入您要查询的百科知识:

 

词条 敌菌灵
类别 中文百科知识
释义

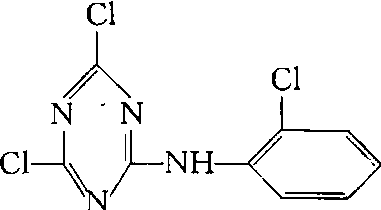
敌菌灵anilazine

杂环类杀菌剂。化学名称:2,4-二氯-6-(2-氯代苯氨基)均三氮苯。化学结构式如下。原药白色结晶,难溶于水,但能溶于大多数溶剂。在中性和弱酸液中稳定,碱性液中加热能分解。为保护性杀菌剂,对交链孢霉、尾孢霉、葡萄孢霉等真菌引起的病害有效,作叶面喷洒用。对大鼠急性口服LD50为2710 mg/kg,对皮肤有刺激作用。

随便看

 

开放百科全书收录579518条英语、德语、日语等多语种百科知识,基本涵盖了大多数领域的百科知识,是一部内容自由、开放的电子版国际百科全书。

 

Copyright © 2000-2025 oenc.net All Rights Reserved
更新时间:2026/1/12 21:21:53