网站首页  百科知识

请输入您要查询的百科知识:

 

词条 敌菌丹
类别 中文百科知识
释义

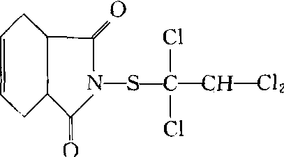
敌菌丹captafol

三氯甲硫基类杀菌剂。化学名称:N-1,1,2,2-四氯乙硫基四氢苯二甲酰亚胺。化学结构式如下。纯品白色结晶,熔点160~161℃,室温下不挥发,难溶于水,微溶于大多数有机溶剂。强碱时不稳定,160℃时分解。广谱性保护杀菌剂。喷洒防治多种植物叶部和果实病害,亦可作木材防腐剂。对人畜低毒,大鼠急性口服LD50为5 000~6 200 mg/kg,大白兔经皮毒性LD50>15 400 mg/kg,大鼠日饲500 mg/kg、狗日饲10 mg/kg剂量,经两年试验未见中毒现象。

随便看

 

开放百科全书收录579518条英语、德语、日语等多语种百科知识,基本涵盖了大多数领域的百科知识,是一部内容自由、开放的电子版国际百科全书。

 

Copyright © 2000-2025 oenc.net All Rights Reserved
更新时间:2026/5/18 23:06:37