网站首页  百科知识

请输入您要查询的百科知识:

 

词条 指数平滑法
类别 中文百科知识
释义

指数平滑法exponentialsmoothing method

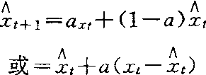
又称指数修匀法。利用平滑系数对时间序列加权,求得加权平均数作为预测值的定量预测方法。它既强调时间序列中近期数据对预测值的影响,也不忽视远期数据的作用。用来加权的平滑系数呈指数几何级数形式,近期数据权数大,远期的权数小。计算公式为:

式中t+1为预测值;xt为t期实际值;t为t期预测值;a为平滑系数,其值介于0与1之间。如时间序列的长期趋势较稳定,a应取较小的值(0.05~0.2);如时间序列有明显变动趋势,则a应取较大的值(0.3~0.5)。指数平滑法也有一次、二次、三次之分。当时间序列具有线性趋势时,用一次指数平滑法会出现较大的滞后偏差,就可再用二次指数平滑法进行趋势修正。但当时间序列数据分布出现曲率时,应采用三次指数平滑法。
随便看

 

开放百科全书收录579518条英语、德语、日语等多语种百科知识,基本涵盖了大多数领域的百科知识,是一部内容自由、开放的电子版国际百科全书。

 

Copyright © 2000-2025 oenc.net All Rights Reserved
更新时间:2026/5/19 16:37:19