网站首页  百科知识

请输入您要查询的百科知识:

 

词条 三角方程组
类别 中文百科知识
释义

三角方程组sanjiao fangchengzu

把若干个三角方程联立起来组成的一组方程.
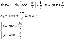
例如


消元是解方程组的根本途径,常用同角三角函数的关系式(如平方关系或倒数关系等)消元,然后解之.
例 解方程组


解 原方程组可化为

由(1)2+(2)2

解得

将(3)代入(1)得

不是原方程组的解.
所以方程组的解为

随便看

 

开放百科全书收录579518条英语、德语、日语等多语种百科知识,基本涵盖了大多数领域的百科知识,是一部内容自由、开放的电子版国际百科全书。

 

Copyright © 2000-2025 oenc.net All Rights Reserved
更新时间:2026/5/18 16:44:18