网站首页  百科知识

请输入您要查询的百科知识:

 

词条 三角形的高线长公式
类别 中文百科知识
释义

三角形的高线长公式sanjiaoxing de gaoxian chang gongshi

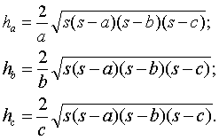
设a,b,c表示三角形的三边长;ha,hb,hc分别表示a,b,c三边上的高线长;s=(a+b+c)/2.则

随便看

 

开放百科全书收录579518条英语、德语、日语等多语种百科知识,基本涵盖了大多数领域的百科知识,是一部内容自由、开放的电子版国际百科全书。

 

Copyright © 2000-2025 oenc.net All Rights Reserved
更新时间:2025/11/10 12:36:40