网站首页  百科知识

请输入您要查询的百科知识:

 

词条 三角形的面积公式
类别 中文百科知识
释义

三角形的面积公式sanjiaoxing de mianji gongshi

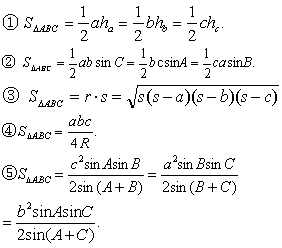
在△ABC中,设∠A,∠B,∠C的对边为a,b,c;a,b,c边上的高分别为ha,hb,hc;s=(a+b+c)/2,r为△ABC内切圆半径,R为△ABC外接圆半径,△ABC的面积为

S△ABC.




❻秦九韶公式:我国宋朝时秦九韶在《九章算术》中记载的三斜求积的方法是(如图):“以小斜幂(c2)并大斜幂(a2)减中斜幂(b2),余半之,自乘于上;以小斜幂乘大斜幂,减上,余四约之,为实;一为从隅,开平方得积”.这个算法用公式表示,就是

这个公式可以变成

形式.它又叫做三斜求积公式.

三角形的面积公式sanjiaoxing de mianji gongshi

参见“多边形的面积公式”.

随便看

 

开放百科全书收录579518条英语、德语、日语等多语种百科知识,基本涵盖了大多数领域的百科知识,是一部内容自由、开放的电子版国际百科全书。

 

Copyright © 2000-2025 oenc.net All Rights Reserved
更新时间:2025/11/10 13:03:04