网站首页  百科知识

请输入您要查询的百科知识:

 

词条 三角形的角平分线长公式
类别 中文百科知识
释义

三角形的角平分线长公式sanjiaoxing de jiao pingfenxi-an chang gongshi

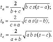
设ta,tb,tc分别表示三角形三个内角A,B,C的平分线长,a,b,c表示三边长,s=(a+b+c)/2. 则


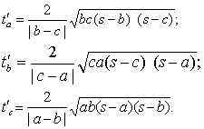
设t′a,t′b,t′c分别表示角A,B,C的外角平分线长.则

随便看

 

开放百科全书收录579518条英语、德语、日语等多语种百科知识,基本涵盖了大多数领域的百科知识,是一部内容自由、开放的电子版国际百科全书。

 

Copyright © 2000-2025 oenc.net All Rights Reserved
更新时间:2025/11/10 14:31:16