网站首页
百科知识
请输入您要查询的百科知识:
词条
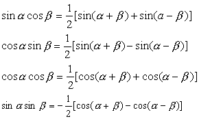
三角函数的积化和差公式
类别
中文百科知识
释义
三角函数的积化和差公式sanjiao hanshu de jihua hechagongshi
包括:
随便看
法水
法汉冶金词典
法汉化学化工词汇
法汉医学词汇
法汉国际生活实用词典
法汉地质词典
法汉对外贸易小词典
法汉建筑工程词典
法汉数学计算技术辞典
法汉新词新义词典
法汉无线电辞典
法汉机电工程词典
法汉林业词典
法汉水利水电技术词典
法汉水声学词汇
法汉水声词汇
法汉汉法专名词典
法汉汽车技术词典
法汉电子技术词典
法汉电技术词汇
法汉短语词组词典
法汉石油地球物理勘探词汇
法汉石油辞典
法汉科学技术词典
法汉科技小词典
开放百科全书收录579518条英语、德语、日语等多语种百科知识,基本涵盖了大多数领域的百科知识,是一部内容自由、开放的电子版国际百科全书。
Copyright © 2000-2025 oenc.net All Rights Reserved
更新时间:2026/1/12 6:49:10