网站首页  百科知识

请输入您要查询的百科知识:

 

词条 三角函数
类别 中文百科知识
释义

三角函数sanjiaohanshu

正弦函数,余弦函数,正切函数,余切函数,正割函数,余割函数的统称.


给定一个任意角α,以角α的顶点为原点,始边为X轴的正半轴,建立直角坐标系(如图).设任意角α的终边上任意一点P的坐标是(x,y),它与原点的距离是r(r=),则比y/r,x/r,y/x,x/y,r/x,r/y分别叫做角α的正弦、余弦、正切、余切、正割和余割,记


由于全体任意角的集合与全体实数集合之间可以建立一一对应.所以正弦,余弦,正切,余切,正割,余割都可以看成以实数为自变量的函数,分别叫做正弦函数,余弦函数,正切函数,余切函数,正割函数,余割函数.
对于给定的角,各三角函数的值和它们对应的三角函数线的值相等.因此,也可以用三角函数线给出三角函数的定义.
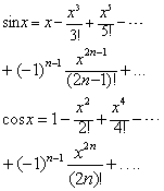
有时为了理论上的需要,也可以用无穷级数给出三角函数的定义.如

三角函数

包括正弦,余弦,正切,余切,正割,余割6种函数。三角函数是研究当斜边与直角边的夹角a变化时,边的比值与它的对应关系。

随便看

 

开放百科全书收录579518条英语、德语、日语等多语种百科知识,基本涵盖了大多数领域的百科知识,是一部内容自由、开放的电子版国际百科全书。

 

Copyright © 2000-2025 oenc.net All Rights Reserved
更新时间:2026/5/18 20:46:51