网站首页  百科知识

请输入您要查询的百科知识:

 

词条 招差术
类别 中文百科知识
释义

080 招差术

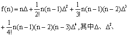
古代用于天文历算和高阶等差级数求和的一种计算方法。属现代数学的有限差分法。它的发展与天文学的发展紧密相关。东汉刘洪在《乾象历》中推算定朔、定望的时刻所用公式为f(n+s)=f(n)+s,其中n为月球在近日点之后的整日数,f(n)为月球n日共行度数,△为一阶差分f(n+1)-f(n),0
3、△4分别表示各级差分的第一个差分。他指出公式中各项系数恰依次是“古法七乘方图”(贾宪三角的推广)中从左边开始的各斜线上数字的和。因此可以认为朱世杰已经掌握了任意高次的招差术。中国的二次内插法早于格雷果里(J.Gregory,1638-1675)1千多年,高次招差术也早于牛顿(I.Newton,1642-1727)近400年,是中国古代数学的一项杰出成就。参见32058二次内插法、32070平立定三差法。

随便看

 

开放百科全书收录579518条英语、德语、日语等多语种百科知识,基本涵盖了大多数领域的百科知识,是一部内容自由、开放的电子版国际百科全书。

 

Copyright © 2000-2025 oenc.net All Rights Reserved
更新时间:2026/5/18 16:57:02