网站首页  百科知识

请输入您要查询的百科知识:

 

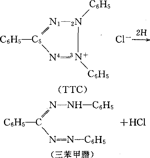
词条 三苯基氯化四唑
类别 中文百科知识
释义

三苯基氯化四唑2,3,5-triphenyl tetrazolium chlo-ride,TTC

又称氯化三苯基四氮唑或氯化四唑。四唑2,3,5位上的氢原子被苯基取代后的氯化物。一种用来检验脱氢酶活性的有机化合物。分子式为C19H15N4Cl,分子量334.80,溶于水、醇和丙酮,不溶于醚。熔点245℃。无色或淡黄色结晶性粉末。 其水溶液被还原时变成不溶性的红色结晶——三苯甲䐶。常用来检定种子的发芽力、根系活力和逆境下植物组织的伤害率等。

随便看

 

开放百科全书收录579518条英语、德语、日语等多语种百科知识,基本涵盖了大多数领域的百科知识,是一部内容自由、开放的电子版国际百科全书。

 

Copyright © 2000-2025 oenc.net All Rights Reserved
更新时间:2026/5/19 11:24:53