网站首页
百科知识
请输入您要查询的百科知识:
词条
拉格朗日恒等式
类别
中文百科知识
释义
拉格朗日恒等式lage langri hengdengshi
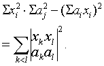
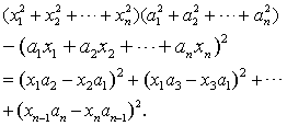
即
或者用简单记法
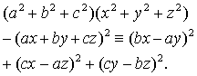
特别在n=3时,拉格朗日公式的形式为
由拉格朗日恒等式,可见等式
对于实数x
i
及a
j
只有当
时才能成立
随便看
Bourdelle,Emile
bourgeoisie
Bourgeois,Leon
Bourges
Bourget,Paul
Bourguiba,Habib
Bourke—White,Margaret
Bourmont, Louis Auguste Victor de Ghaisnes,Comte de
Bournemouth
Bournville
bourse
Bouts,Dierick
Bouvet
Bouvines,Battle of
Boveri,Theodor Heinrich
Bovet,Daniel
Bovidae
Bowdler,Thomas
Bowen,Elizabeth
Bowen,Norman Levi
bowerbird
Bower,Frederick Orpen
bowfin
Bowie,David
bowling
开放百科全书收录579518条英语、德语、日语等多语种百科知识,基本涵盖了大多数领域的百科知识,是一部内容自由、开放的电子版国际百科全书。
Copyright © 2000-2025 oenc.net All Rights Reserved
更新时间:2026/5/19 21:09:48