网站首页  百科知识

请输入您要查询的百科知识:

 

词条 三线共点的条件
类别 中文百科知识
释义

三线共点的条件sanxian gongdian de tiaojian

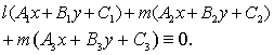
互不平行的三直线Aix+Biy+Ci=0 (i=1,2,3)共点的充要条件之一是


充要条件之二是:存在不全为零的实数l,m,n,使得

随便看

 

开放百科全书收录579518条英语、德语、日语等多语种百科知识,基本涵盖了大多数领域的百科知识,是一部内容自由、开放的电子版国际百科全书。

 

Copyright © 2000-2025 oenc.net All Rights Reserved
更新时间:2026/5/18 16:27:23