网站首页  百科知识

请输入您要查询的百科知识:

 

词条 抗坏血酸
类别 中文百科知识
释义

抗坏血酸

即“维生素C”。

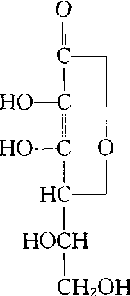
抗坏血酸ascorbic acid

又称维生素C(vitamin C) 。L-2-烯醇己糖酸内酯。一种水溶性维生素。白色结晶,有酸味,在中性或碱性溶液中极易被氧化,微量金属离子(如Cu2+、Fe2+等)促进其氧化,遇光、热均不稳定。分子中两个烯醇式羟基脱去氢被氧化成脱氢抗坏血酸,后者也可加氢还原成抗坏血酸,在代谢反应中可作氢的载体。在生物体内,除了作二氢叶酸还原酶和脯氨酸羟化酶的辅酶,以及与谷胱甘肽、NADP+的氧化还原反应偶联进行细胞呼吸外,主要通过自身的氧化使许多需要有自由巯基的蛋白或酶处于还原状态,从而维持其生物活性。对细胞间质的形成和维持牙齿、骨骼、血管和肌肉的正常功能,以及增强机体对疾病的抵抗力有重要作用。坏血病是其典型缺乏症。新鲜水果和蔬菜中含量丰富,尤其在番茄、橙、橘、鲜枣、辣椒、刺梨和猕猴桃中含量极多。

随便看

 

开放百科全书收录579518条英语、德语、日语等多语种百科知识,基本涵盖了大多数领域的百科知识,是一部内容自由、开放的电子版国际百科全书。

 

Copyright © 2000-2025 oenc.net All Rights Reserved
更新时间:2025/11/10 14:15:33