网站首页  百科知识

请输入您要查询的百科知识:

 

词条 三氟氯氰菊酯
类别 中文百科知识
释义

三氟氯氰菊酯cyhalothrin

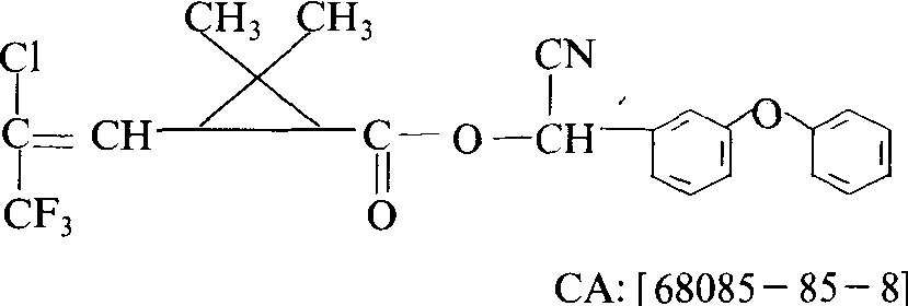
含氟并具有一定的杀螨活性的合成拟除虫菊酯杀虫剂。商品名有功夫、空手道、Kung Fu、Karate等。有八个光学异构体,产品含有生物活性较高的Z-(1R,3R)酸(S)醇酯和Z-(1S,3S)酸(R)醇酯(1 :1混合物)。化学结构式:

1977在英国卜内门化学工业有限公司(ICI Ltd.)首先研制并开发。
性能 纯品为无色固体,原药为米色无味固体,含有效成分90%以上,其中顺式异构体在95%以上。熔点49.2℃,密度d1.33,20℃时蒸气压为2×10-7帕。对光稳定,加热至275℃分解。弱酸性介质中较稳定,碱性介质中易分解,pH7~9时水解较慢,pH>9时水解较快。15~25℃条件下贮存6个月或50℃条件下贮存90天稳定。难溶于水,易溶于醇、脂肪烃、卤代烃、酯类、醚类、酮类、芳香烃等有机溶剂。对高等动物毒性中等,原药对大鼠急性经口LD 50为79毫克/千克(雄)、56毫克/千克(雌),对大鼠急性经皮LD50为632毫克/千克(雄)、696毫克/千克(雌),对兔皮肤无刺激作用,对兔眼睛有轻度刺激作用。在试验剂量内对试验动物未发现致畸、致突变和致癌作用。对人体每日允许摄入量(ADI)为0.02毫克/千克。对鸟类低毒,对鱼类等水生生物、蜜蜂、家蚕高毒。杀虫活性高,属神经毒剂,以触杀和胃毒作用为主,有一定的驱避作用,无内吸传导和熏蒸作用。药效迅速,残效期较长,制剂喷洒后有一定的耐雨水冲刷性能。杀虫谱广,对鳞翅目、鞘翅目、半翅目、缨翅目、膜翅目、直翅目、双翅目、蜚蠊目的多种害虫有效,对螨类有一定的防治效果。
应用 加工成乳油、超低容量液剂等剂型使用。主要用于棉花、果树、蔬菜、茶树、旱粮等作物,防治棉铃虫、棉红铃虫、棉蚜、柑桔潜叶蛾、柑桔介壳虫、桃小食心虫、菜青虫、菜蚜、茶尺蠖、茶毛虫、牧草盲蝽、旱粮粘虫等。可兼治叶螨,因残效期短、效果不稳定,易产生抗药性,不作为专用杀螨剂使用。施药时喷雾要均匀,对钻蛀性害虫应在幼虫蛀入作物前施药,残效期一般为7~ 10天。防治卫生害虫采用滞留喷雾,不可直接喷雾。

三氟氯氰菊酯cyhalothrin

又称功夫菊酯、PP321。广谱性杀虫杀螨剂。化学名称:3-(2-氯-3,3,3-三氟丙烯基)-2,2-二甲基环丙烷羧酸α-氰基-3-苯氧苄基酯。化学结构式如下。原药为米黄色无味固体。熔点49.2℃、20℃时蒸气压266.6×10-12Pa。不溶于水,溶于各种有机溶剂。中等毒性,大鼠急性口服LD50(♂)为79 mg/kg,(♀)为56 mg/kg。小鼠急性口服LD50(♂)为36.7 mg/kg、(♀)为62.3 mg/kg。经皮LD50大鼠(♀)为696mg/kg,(♂)为632mg/kg。可以用于防治棉、果树、蔬菜以及其他经济作物的害虫,特别是鳞翅目幼虫。同其他除虫菊酯一样,长期使用害虫很容易产生抗药性。

随便看

 

开放百科全书收录579518条英语、德语、日语等多语种百科知识,基本涵盖了大多数领域的百科知识,是一部内容自由、开放的电子版国际百科全书。

 

Copyright © 2000-2025 oenc.net All Rights Reserved
更新时间:2026/5/19 20:04:54