网站首页  百科知识

请输入您要查询的百科知识:

 

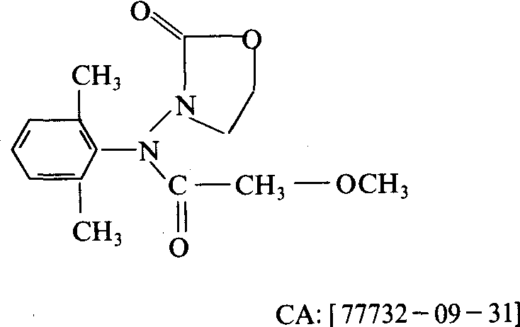
词条 恶霜灵
类别 中文百科知识
释义

恶霜灵oxadixyl

触杀兼内吸性取代苯酰胺类杀菌剂。化学结构式:

1979年由瑞士山德士公司(Sandoz Ltd.)首先开发。
性能 纯品为无色、无气味结晶,无挥发性,熔点104~ 105℃,对光、热较稳定,室温下耐长期贮藏。溶于水及丙酮等极性有机溶剂。对高等动物低毒,大白鼠口服LD501860毫克/千克(雌),3480毫克/千克(雄);经皮毒性大于2000毫克/千克,对眼睛和皮肤均无刺激性,长期饲养也未见慢性中毒症状; 对鸟类、水生生物及蜜蜂在推荐用量下安全。在真菌病害中,对卵菌纲霜霉目霜霉科及腐霉科的多种病原菌有特效。有强触杀作用及内吸传导特性。渗透以及在植物体内传导很快,高浓度施药2~4小时后即可表现出良好杀菌活性。内吸后的药剂有向顶性(acropetally)和向基性(basipetally)、叶片内侧向传导(laterally)特性;叶片正面药剂可向背面转移; 以根部吸收向叶部传导最明显。
应用 主要用于防治十字花科植物、葡萄、黄瓜、玉米等作物的霜霉病;疫霉属所致的烟草黑胫病,马铃薯、番茄晚疫病和多种果树的根腐、褐腐及环腐; 腐霉属所致的蔬菜猝倒病等。可作保护剂施用,也可作治疗剂在发病后施药,并可抑制病菌产生孢子,有利于防止重复侵染和大流行。防治葡萄霜霉病田间施药浓度为250毫克/升(有效成分)时,保护效果可达9~10天; 病菌侵染4天后施药,治疗效果仍可达80~ 100%。施药方法有叶面喷布、混土施用和灌浇等。正常施药量情况下,对植物均无药害。单独使用易使病原菌产生抗药性,与代森锰锌(1:7)混配的杀毒矾(Sandofan)可抑制抗药性发展。
随便看

 

开放百科全书收录579518条英语、德语、日语等多语种百科知识,基本涵盖了大多数领域的百科知识,是一部内容自由、开放的电子版国际百科全书。

 

Copyright © 2000-2025 oenc.net All Rights Reserved
更新时间:2026/5/18 23:51:33