网站首页  百科知识

请输入您要查询的百科知识:

 

词条 循环连分数
类别 中文百科知识
释义

循环连分数xunhuan lianfenshu

一个无限正则连分数中,若存在一个常数k(k∈N),使对一切不小于m的非负整数n(m为已知的非负整数)均有an+k=an,则称这个连分数为循环连分数.当m=0时,称为纯循环连分数;当m∈N时称为混循环连分数.
连分数中如下的一节


称为循环节,循环连分数可以简记为

例如


可简记为〔1,2,3,4〕.
可以证明:循环连分数必是一个整系数一元二次方程的正无理根.反之,任一个二次无理数(即整系数一元二次方程的正无理根)必能表示成一个循环连分数.具体计算方法可参照以下几个例题进行.

解 设其值为x,则

x2-x-1=0


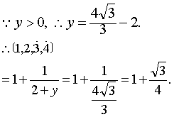
例2 求〔1,2,3,4〕之值.

化简得



随便看

 

开放百科全书收录579518条英语、德语、日语等多语种百科知识,基本涵盖了大多数领域的百科知识,是一部内容自由、开放的电子版国际百科全书。

 

Copyright © 2000-2025 oenc.net All Rights Reserved
更新时间:2026/5/19 17:34:16