网站首页  百科知识

请输入您要查询的百科知识:

 

词条 三唑酮
类别 中文百科知识
释义

三唑酮triadimefon

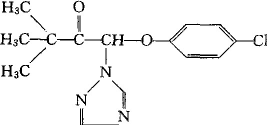
内吸高效广谱性三唑类杀菌剂。商品名粉锈宁(Bayleton)。化学结构

1974年联邦德国拜耳(Bayer)公司首先开发成功。
性能 纯品为无色结晶,熔点82.3℃,20℃时蒸气压小于99.9918×10-10帕。20℃时在各种溶剂中的溶解度为: 水0.007%、环己酮60~ 120%、异丙醇20~40%、二氯甲烷>120%、甲苯40~60%。在酸性或碱性介质中都比较稳定,在0.05摩尔/升硫酸或0.1摩尔/升氢氧化钠中,于20℃保存24小时不分解。对温血动物低毒,大鼠急性口服LD50为1000~1500毫克/千克,雄、雌小鼠分别为989毫克/千克和1071毫克/千克。雄性大鼠急性经皮LD50>1000毫克/千克。对雄、雌大鼠和狗喂饲两年的无作用剂量分别为500毫克/千克、50毫克/千克和330毫克/千克。无胚胎毒性、不致畸、未发现致突变作用。对虹鳟鱼和鲤鱼的LC50分别为14毫克/升(96小时)和7.6毫克/升(48小时)。对鹌鹑LD50为1750~2500毫克/千克。对蜜蜂和天敌无毒。具有高效、广谱、低残留、残效期长,内吸性强的特点。易于被植物体吸收并在在体内传异。兼有保护、治疗、铲除和熏蒸等作用。其作用机制主要是抑制麦角甾醇的生物合成。对某些真菌的活性主要表现在寄主植物体内(活体),离体效果很差。应用 广泛用于防治禾谷类作物、蔬菜和果树的白粉病、锈病和某些黑穗病。也用于大麦云纹病、甘蔗凤梨病、橡胶白粉病的防治。喷洒防治麦类、瓜类、苹果、草莓、葡萄白粉病的有效施用浓度为25~125毫克/升,喷洒防治麦类秆锈病、小麦叶锈病和条锈病的用药量为有效成分125~250克/公顷。喷洒1~2次。拌种防治小麦根腐病、小麦和大麦的散黑穗病、光腥黑穗病、网腥黑穗病、白秆病及苗期发生的白粉病、锈病、云纹病、叶枯病、全蚀病,每千克种子用药量为有效成分0.3克。拌种防治高粱丝黑穗病、散黑穗病和坚黑穗病,每千克种子的有效剂量为有效成分0.4~ 0.6克。防治玉米丝黑穗的剂量为有效成分0.8克。药剂在有效剂量下,对作物安全。加工制剂主要有25%可湿性粉剂、20%乳油和15%烟雾剂,后者主要用于橡胶白粉病的防治。可与多种杀菌剂、杀虫剂和除草剂混用。类似品种 继三唑酮之后,西德拜耳公司又开发了三唑醇(48小时)。对鹌鹑LD50为1750~2500毫克/千克。对蜜蜂和天敌无毒。具有高效、广谱、低残留、残效期长,内吸性强的特点。易于被植物体吸收并在在体内传异。兼有保护、治疗、铲除和熏蒸等作用。其作用机制主要是抑制麦角甾醇的生物合成。对某些真菌的活性主要表现在寄主植物体内(活体),离体效果很差。
应用 广泛用于防治禾谷类作物、蔬菜和果树的白粉病、锈病和某些黑穗病。也用于大麦云纹病、甘蔗凤梨病、橡胶白粉病的防治。喷洒防治麦类、瓜类、苹果、草莓、葡萄白粉病的有效施用浓度为25~125毫克/升,喷洒防治麦类秆锈病、小麦叶锈病和条锈病的用药量为有效成分125~250克/公顷。喷洒1~2次。拌种防治小麦根腐病、小麦和大麦的散黑穗病、光腥黑穗病、网腥黑穗病、白秆病及苗期发生的白粉病、锈病、云纹病、叶枯病、全蚀病,每千克种子用药量为有效成分0.3克。拌种防治高粱丝黑穗病、散黑穗病和坚黑穗病,每千克种子的有效剂量为有效成分0.4~ 0.6克。防治玉米丝黑穗的剂量为有效成分0.8克。药剂在有效剂量下,对作物安全。加工制剂主要有25%可湿性粉剂、20%乳油和15%烟雾剂,后者主要用于橡胶白粉病的防治。可与多种杀菌剂、杀虫剂和除草剂混用。
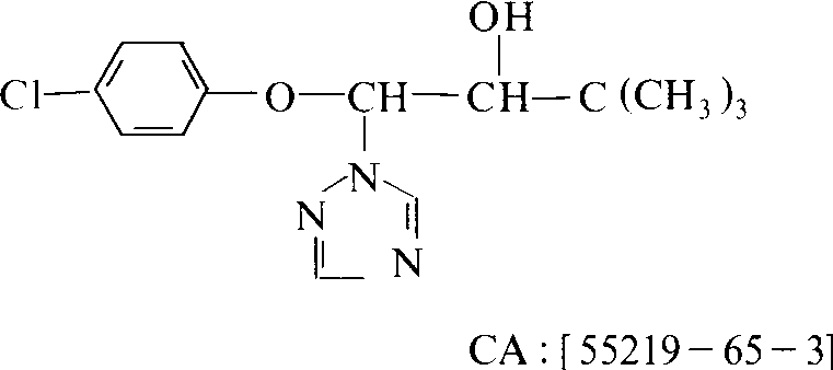
类似品种 继三唑酮之后,西德拜耳公司又开发了三唑醇(triadimenol)。它是三唑酮的还原产物,是一种优良的拌种剂。化学结构式:

三唑醇具有高效、低毒、广谱、内吸,兼有保护和治疗作用等特点。不仅能杀灭附于种子外表的病原菌,而且能杀死种子内部的病原菌。拌种防治小麦、大麦和燕麦的散黑穗病,小麦网腥黑穗病、光腥黑穗病,小麦和大麦的条锈病、叶锈病、白粉病、玉米丝黑穗病和高粱丝黑穗病的效果,优于三唑酮,其用量约为三唑酮的1/2,防病效果均可达到80%以上。

三唑酮

又名“粉锈宁”。微溶于水,化学性质较稳定。对人畜毒性低。内吸剂,具双向传导作用。主要用于防治小麦和蔬菜的白粉病,麦类、玉米、高粱黑穗病等。

三唑酮triadimefon

又称粉锈灵。杂环类杀菌剂。化学名称;1-(4-氯苯氧基)-3,3-甲基-1-(1H-1,2,4-三唑-1-基)-2-丁酮。化学结构式如下。原药无色结晶,有异味,微溶于水,易溶于多种有机溶剂。在pH1~13都较稳定。1974年由德国拜耳公司生产,内吸性杀菌剂。对由黑粉菌、锈菌、白粉菌所引起的病害有很好的防效。亦用于水稻后期叶片病害。可种子处理,叶面喷洒。内吸性和残效性都强,如小麦种子拌种处理可保护幼苗不受白粉菌和锈菌的侵染长达2个月以上。作用机制是影响细胞麦角甾醇的生物合成,抑制了次生菌丝的生长发育,顶端膨大畸形,分生孢子萎缩,吸器鞘渐衰退,病斑上新孢子产生减少。三唑酮在植物体内和敏感真菌体内均可转化为三唑醇,三唑醇的生物活性相同甚至高于三唑酮。因此也有以三唑醇直接作杀菌剂使用,对植物安全。种子处理时由于药剂能抑制赤霉素的合成,有时抑制幼苗生长,但在水稻中后期叶面喷洒,还能防止叶片早衰,保持绿色,对人畜低毒。大鼠急性口服LD50为750~1200 mg/kg,经皮>5000 mg/kg,对粘膜、皮肤也无影响,对蜜蜂无害。世界粮农组织和世界卫生组织规定允许残留量标准,小麦0.1,苹果、番茄、辣椒为0.5,葡萄2.0,黄瓜0.2 mg/kg。

三唑酮

又称粉锈宁,三唑类杀菌剂。1974年研制成功。纯品为无色固体,微溶于水,易溶于有机溶剂。主要剂型为2.5%可湿性粉剂、15%烟剂、20%乳油。主治锈病和白粉病,也可防治麦类叶枯病、高粱丝黑穗病等。叶面喷雾每公顷有效量12.38 g。防治黑穗病种子处理每100 kg种子麦类有效量30 g、玉米80 g。

随便看

 

开放百科全书收录579518条英语、德语、日语等多语种百科知识,基本涵盖了大多数领域的百科知识,是一部内容自由、开放的电子版国际百科全书。

 

Copyright © 2000-2025 oenc.net All Rights Reserved
更新时间:2026/5/18 18:41:24