网站首页  百科知识

请输入您要查询的百科知识:

 

词条 异面直线所成的角
类别 中文百科知识
释义

异面直线所成的角yimian zhixian suocheng de jiao

a,b是两条异面直线,经过空间任意一点O,作直线a′∥a,直线b′∥b,则直线a′和直线b′所成的锐角(或直角)叫做异面直线a和b所成的角(图1).

图1


异面直线所成的角反映了两条异面直线在方向上的差异.它是研究两条异面直线互相垂直、三垂线定理的基础.计算异面直线所成的角的基本步骤是:
❶根据异面直线所成的角的定义,找出异面直线所成的角θ.

❷解含有角θ的三角形,求出角θ的大小.
在完成第一步时,应注意为完成第二步作好准备.

图2


通常把角θ的顶点选在两条异面直线中的一条上.
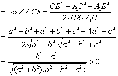
例 在长方体ABCD-A1B1C1D1中(图2),BC=a,CD=b,DD1=c,且b>a.求异面直线A1C和B1D1所成的角.
解 过C作B1D1的平行线EF,与AB,AD的延长线分别交于F,E两点.则∠A1CE就是异面直线A1C和B1D1所成的角.连结A1E.因为EF∥B1D1,所以EF∥BD.四边形BCED是平行四边形.所以CE=BD=

因为

DE=BC=a,

所以

AE=2a.

在Rt△AEA1

中,

A1C=

在△A1CE中有

所以A1C和B1D1所成的角为


在上面的例题中,若已知a=b,则可根据三垂线定理证明直线A1C与BD互相垂直,所以A1C与BD所成的角为90°.这时可不用异面直线所成的角的定义求.
随便看

 

开放百科全书收录579518条英语、德语、日语等多语种百科知识,基本涵盖了大多数领域的百科知识,是一部内容自由、开放的电子版国际百科全书。

 

Copyright © 2000-2025 oenc.net All Rights Reserved
更新时间:2026/5/19 12:32:59