网站首页  百科知识

请输入您要查询的百科知识:

 

词条 异丙甲草胺
类别 中文百科知识
释义

异丙甲草胺metolachlor

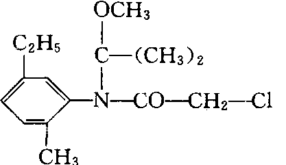
芽前土壤处理选择性酰胺类除草剂。商品名都尔、屠莠胺、Dual、CGA-24705。其化学结构式:

1974年由瑞士汽巴—嘉基(Ciba-Geigy)公司首先开发。
性能 纯品为无色液体,沸点100℃,20℃时水中溶解度为530毫克/升,可与大多数有机溶剂混溶,蒸气压为1.733×10-3帕。大白鼠急性口服LD50为2780毫克/千克,急性经皮LD50>3170毫克/千克。对眼和皮肤有轻微的刺激性。在植物体内可迅速被代谢,在谷物中基本无残留。禾本科杂草主要由幼芽吸收,阔叶杂草主要通过根吸收,药剂被吸收后在植物体内传导。通过干扰和抑制植物体内的核酸代谢、蛋白质合成而发挥除草作用。中毒植物根、茅停止生长,一般在杂草出土前就死亡。其选择性来自对本剂代谢分解能力和对细胞膜透性影响的差异,敏感植物的根细胞膜吸收本剂后丧失完整性,养分外渗。在土中半衰期26天左右,持效期8~ 12星期,对后茬安全。
应用 适用于玉米、大豆、花生、棉花、豌豆、芝麻、甜菜、甘蔗等,防除一年生禾本科杂草和部分阔叶杂草,如稗、马唐、狗尾草、早熟禾、野黍、鸭跖草、菟丝子、马齿苋等。宜在作物播前、播后苗前土壤处理,每公顷用药1.0~ 1.8千克土表喷雾。用药量因土壤质地及有机质含量多少而变化。雨前或灌溉前施药效果好。干旱时施药后宜浅混土。可与扑草净、利谷隆、灭草松等混用,增加防除大豆田阔叶杂草的效果。在玉米田可与莠去津、氰草津等混用。混剂商品有: Galex(异丙甲草胺加秀谷隆)、Primextra(异丙甲草胺加莠去津等)。也可与大多数农药和液体肥料混合使用。

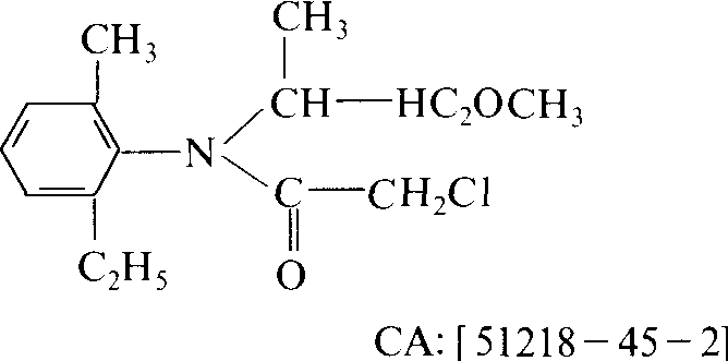
异丙甲草胺metolachlor

又称都尔、杜尔。酰胺类内吸、选择性除草剂。化学名称:2-乙基-6-甲基-N-(1′-甲基-2′-甲氧乙基)氯代乙酰替苯胺。化学结构式如下。纯品为无色油状液体,密度1.12(20℃),沸点100℃(1.33 Pa),闪点110~180℃。20℃时蒸气压为173.3×10-5Pa。微溶于水,可溶于大多数有机溶剂,不易光解,性质稳定。药剂通过芽鞘、幼芽及幼根吸收,向上传导,抑制发芽种子的蛋白质合成和胆碱渗入磷酯,干扰卵磷脂形成,从而抑制幼芽与根的生长而枯死。适用于玉米、大豆、花生、棉花、高粱、白菜等旱地及果园、苗圃使用,可防除牛筋草、马唐、狗尾草、稗草、碎米莎草、苋等一年生杂草。对人畜低毒,大鼠急性口服LD50为2870 mg/kg,急性经皮LD50>3170 mg/kg,急性吸入LC50>1750 mg/m3。对鱼有毒,对鸟类低毒。

随便看

 

开放百科全书收录579518条英语、德语、日语等多语种百科知识,基本涵盖了大多数领域的百科知识,是一部内容自由、开放的电子版国际百科全书。

 

Copyright © 2000-2025 oenc.net All Rights Reserved
更新时间:2026/5/19 23:42:52