网站首页  百科知识

请输入您要查询的百科知识:

 

词条 库德—理查逊公式
类别 中文百科知识
释义

库德—理查逊公式

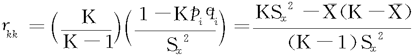
分析题目内部一致性,以估计信度的一种方法。由库德(Kuder)和理查逊(Richardson)于1937年提出。包括K—R20和K—21两个公式。前者为

 其中r为信度系数,K为测验所包含的题目数,pi为题目i的通过率,S2为测验总分的变异数。该公式是对斯皮尔曼-布朗公式的一种发展。一般适用于项目的答案有正误之分或其他非连续反应变量的测验。如果各题目难度相近,则可用K—R21公式

其中X-是测验总分的平均数,K和S2、R含义与K—R20公式相同。此式较为简单,但求得的信度系数有低估的倾向。
随便看

 

开放百科全书收录579518条英语、德语、日语等多语种百科知识,基本涵盖了大多数领域的百科知识,是一部内容自由、开放的电子版国际百科全书。

 

Copyright © 2000-2025 oenc.net All Rights Reserved
更新时间:2025/11/10 5:17:55