网站首页  百科知识

请输入您要查询的百科知识:

 

词条 序数
类别 中文百科知识
释义

序数xushu

又称序相,是一个初始概念.由于相似关系≃是有序集之间的一种等价关系,因此,可以用相似关系对有序集进行等价分类.称属于同一类的有序集为具有同一序数的集合.有序集(A,≤A)的序数记作〔(A,≤A)〕即〔(A,≤A)〕=〔(B,≤B)⇔(A,≤A)≃(B,≤B).
任何一个有限集合{a1,a2,…,ak}都是有序集,而且是良序的.其序数与基数都是k,序数k可以理解为有序集{a1,a2,…,ak}的末元素是第k个.
同规定空集Φ和单元素集的基数一样,也规定空集Φ的序数为0,单元素集的序数为1.
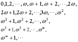
序数可以看作用来编序的自然数(第一,第二,第三,……)的推广.序数可以比较大小,并且在任一序数之后必有一个紧跟着它的序数.如果有序集(N,≤)的序数〔(N,≤)〕=ω,那么将所有的序数由0开始,从小到大排列起来就形成一个无穷序列

序数xushu

用以表示物体排列次序的自然数,叫序数,用“第几”来表示。例如:小朋友排队,小昕站第三,这个“第三”就是序数。序数有方向性,它会因排列的起始方向的不同而不同,如从左到右,排在最左边的就是第一,反之最右边的就是第一;楼房的层次从下面开始,最下面的是第一层;小动物赛跑,跑在最前面的就是第一……幼儿对序数的掌握要晚于基数,因为它不仅要求幼儿有一定的数的概念,还要有一定的序列观念,从中班开始,可以对幼儿进行序数教学。

序数

集合论概念。一集合α是一序数,如果:(1)α是∈传递的(“∈”读作并表示“属于”),即如果x∈α,y∈x,则y∈α;(2)α是为关系∈良序的。序数用希腊字母α、β、γ等表示。ω表示自然数集合的序数。

随便看

 

开放百科全书收录579518条英语、德语、日语等多语种百科知识,基本涵盖了大多数领域的百科知识,是一部内容自由、开放的电子版国际百科全书。

 

Copyright © 2000-2025 oenc.net All Rights Reserved
更新时间:2026/5/18 15:46:04