网站首页  百科知识

请输入您要查询的百科知识:

 

词条 川楝素
类别 中文百科知识
释义

川楝素toosendanin

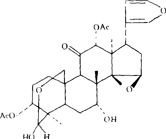
具有拒食和胃毒作用的植物源杀虫剂,存在于楝科楝属植物川楝(Meliatoosendan)种核和叶子中。化学结构式:


川楝素纯品为一白色针状结晶,无臭,味苦。易溶于乙醇、乙酸乙酯、丙酮、二氧六环、吡啶等,微溶于热水、氯仿、苯、乙醚等。熔点178~180℃(含一分子结晶水)。川楝素对高等动物毒性低,小白鼠口服LD50 244~477.7毫克/千克。在医学上可用作驱蛔虫药。在农业上,对多种鳞翅目幼虫有很好的防效。作用方式主要为拒食及胃毒作用。川楝素300毫克/升喷雾,对菜青虫(Pieris rapae)的防效可达70~80%;用川楝素300毫克/升和速灭杀丁1毫克/升或灭幼脲Ⅰ号2.5毫克/升混用,对菜青虫有90%以上的防效。

川楝素toosendanin

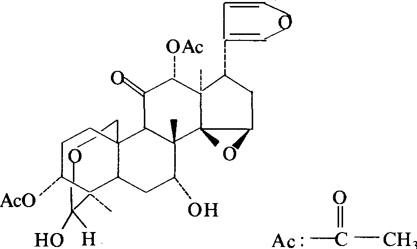
从川楝树皮中抽提分离得到的具有拒食和胃毒作用的植物杀虫剂。可作医药用于防治人体寄生虫。化学结构式见右。川楝素已证明对多种昆虫具有拒食、胃毒、内吸及生长发育抑制作用。400 mg/kg川楝素防治菜青虫(菜粉蝶幼虫)效果显著。

随便看

 

开放百科全书收录579518条英语、德语、日语等多语种百科知识,基本涵盖了大多数领域的百科知识,是一部内容自由、开放的电子版国际百科全书。

 

Copyright © 2000-2025 oenc.net All Rights Reserved
更新时间:2026/5/18 17:12:18