网站首页  百科知识

请输入您要查询的百科知识:

 

词条 尿苷二磷酸葡萄糖
类别 中文百科知识
释义

尿苷二磷酸葡萄糖

简称“UDPG”。生物合成糖原时作为葡萄糖基给体的核苷磷酸糖。

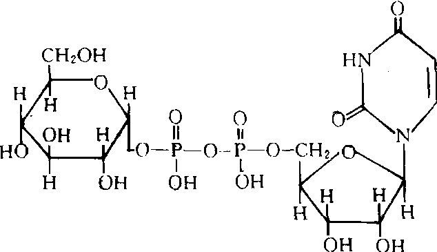
尿苷二磷酸葡萄糖uridine diphosphate glucose

一种糖核苷酸。葡萄糖的半缩醛羟基与尿苷二磷酸的末端磷酸基之间去水缩合而成的化合物。缩写符号为UDPG。结构式如下。在体内由尿苷二磷酸葡萄糖焦磷酸化酶催化合成,反应式为:葡萄糖-1-磷酸+尿苷三磷酸⇌尿苷二磷酸葡萄糖+焦磷酸。存在于植物、动物和微生物中,在蔗糖、淀粉、糖原及其他寡糖和多糖合成中作葡萄糖基的供体,亦可转变为尿苷二磷酸半乳糖和尿苷二磷酸葡萄糖醛酸。

随便看

 

开放百科全书收录579518条英语、德语、日语等多语种百科知识,基本涵盖了大多数领域的百科知识,是一部内容自由、开放的电子版国际百科全书。

 

Copyright © 2000-2025 oenc.net All Rights Reserved
更新时间:2026/5/19 18:29:45