网站首页  百科知识

请输入您要查询的百科知识:

 

词条 尿囊酸
类别 中文百科知识
释义

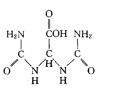
尿囊酸allantoic acid

二脲基醋酸。结构式如下。是某些硬骨鱼体内嘌呤分解的最终产物。也是大多数鱼类和两栖类动物体内嘌呤分解的中间物,从尿囊素水解生成,继续水解则转变为尿素和乙醛酸。也存在于高等植物体内,是氮素贮存和运输的一种形式。

随便看

 

开放百科全书收录579518条英语、德语、日语等多语种百科知识,基本涵盖了大多数领域的百科知识,是一部内容自由、开放的电子版国际百科全书。

 

Copyright © 2000-2025 oenc.net All Rights Reserved
更新时间:2026/1/13 20:00:13