网站首页  百科知识

请输入您要查询的百科知识:

 

词条 尿囊素
类别 中文百科知识
释义

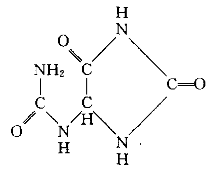
尿囊素allantoin

一种含氮杂环化合物。化学名称为1-脲基间二氮杂茂烷二酮-〔2,4〕。结构式如下。是哺乳动物(灵长类除外)和某些爬行动物体内嘌呤分解的最终产物。也是鱼类和两栖类动物体内嘌呤分解的中间物,从尿酸氧化分解生成,再水解则转变为尿囊酸。也存在于高等植物体内,作为氮素贮存和运输的一种形式。

随便看

 

开放百科全书收录579518条英语、德语、日语等多语种百科知识,基本涵盖了大多数领域的百科知识,是一部内容自由、开放的电子版国际百科全书。

 

Copyright © 2000-2025 oenc.net All Rights Reserved
更新时间:2026/1/13 18:25:47